Hỗ trợ tư vấn
Tư vấn - Giải đáp - Hỗ trợ đặt tài liệu
Mua gói Pro để tải file trên Download.vn (không bao gồm tài liệu cao cấp) và trải nghiệm website không quảng cáo
Tìm hiểu thêm »Đề thi Violympic Toán lớp 7 vòng 3 năm 2016 - 2017 là đề thi giải Toán qua mạng có đáp án đi kèm, hi vọng giúp các em học sinh ôn tập và củng cố kiến thức, nhằm đạt kết quả cao trong các vòng tiếp theo của cuộc thi Violympic giải Toán qua mạng năm học 2016 - 2017.
Câu 1: Giá trị x âm thỏa mãn IxI = 4/8 là
a) x = 4/8 hoặc x = -4/8 b) x = -1/2 c) x = 4/8 d) x = -4/-8
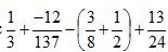
Câu 2: Giá trị của biểu thức
là
a) 5/21 b) 2/7 c) 1/7 d) 13/21
Câu 3: Giá trị của x thỏa mãn Ix - 1,4I = 2,7 là
a) x = 4,1 hoặc x = -1,3
b) x = -4,1 hoặc x = -1,3
c) x = 4,1 hoặc x = 1,3
d) x = -4,1 hoặc x = 1,3
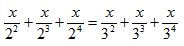
Câu 4: Giá trị của biểu thức:
là ......
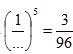
Câu 5: Từ 5 chữ số 0; 1; 2; 3; 4 ta lập được ... số có 3 chữ số chia hết cho 5
Câu 6: Giá trị của x thỏa mãn: ![]()
Câu 7: Kết quả của phép tính I5,15 - 2,15.4,2I + 4,23 : 3 là ......
a) -2,47 b) 7,82 c) 14,01 d) 5,29
Câu 8: Giá trị biểu thức (I-2,57 + 1,32I + 1,64 = 2,86).12 là ......
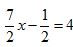
Câu 9: Giá trị của x thỏa mãn: ![]()
a) x = 11/24 hoặc x = 7/24
b) x = 11/24 hoặc x = -7/24
c) x = -11/24 hoặc x = 7/24
d) Không có giá trị nào của x
Câu 10: Đường thẳng c cắt 2 đường thẳng a và b. Số cặp góc đồng vị được tạo thành là bao nhiêu cặp
Câu 11: Hai đường thẳng xx' và yy' vuông góc với nhau. Số góc vuông được tạo bởi 2 đường là
a) 2 b) 1 c) 4 d) 3
Câu 12: Giá trị x thỏa mãn
là
a) 12/7 b) 4/63 c) 9/7 d) 63/4

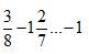
Câu 1: Điền dấu "<; =; >" vào chỗ chấm trong phép so sánh: ![]()
Câu 2: Điền số thích hợp vào chỗ chấm 
Câu 3: Giá trị của x để biểu thức 1,7 - Ix - 2016I đạt giá trị lớn nhất là
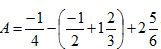
Câu 4: Giá trị biểu thức
là
Câu 5: Cho a, b thỏa mãn đẳng thức Ia - 1,74I + Ib3 + 64I = 0. Giá trị của a, b là ......
Bài 1: Đi tìm kho báu
Câu 1: b Câu 2: c Câu 3: a Câu 4: 17/12 Câu 5: 20 Câu 6: 0
Câu 7: d Câu 8: 0,36 Câu 9: a Câu 10: 4 Câu 11: c Câu 12: c
Bài 2: Sắp xếp theo thứ tự tăng dần
8 < 7 < 10 < 9 < 2 < 6 < 4 < 1 < 3 < 5
Bài 3: Vượt chướng ngại vật
Câu 1: > Câu 2: 2 Câu 3: 2016
Câu 4: -12/137 Câu 5: a = 1,74; b = -4
Theo Nghị định 147/2024/ND-CP, bạn cần xác thực tài khoản trước khi sử dụng tính năng này. Chúng tôi sẽ gửi mã xác thực qua SMS hoặc Zalo tới số điện thoại mà bạn nhập dưới đây: