Đề thi Violympic Toán lớp 7 vòng 14 năm 2015 - 2016 Đề thi giải Toán trên mạng lớp 7 có đáp án

Đề thi Violympic Toán lớp 7 vòng 14 năm 2015 - 2016 là đề thi giải Toán qua mạng có đáp án đi kèm, hi vọng giúp các em học sinh ôn tập và củng cố kiến thức, nhằm đạt kết quả cao trong các vòng tiếp theo của cuộc thi Violympic giải Toán qua mạng năm học 2015 - 2016.

Đề thi Violympic Toán lớp 7 vòng 13 năm 2016 - 2017

Đề thi Violympic Toán lớp 7 vòng 12 năm 2016 - 2017

Đề thi Violympic Toán lớp 7 vòng 14 năm 2015 - 2016 có đáp án

Bài 1: Vượt chướng ngại vật

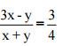
Câu 1.1: Biết x thỏa mãn: Đề thi violympic toán lớp 7

Khi đó x = ...........

Câu 1.2: Số nghịch đảo của số 0,625 là: ........

Câu 1.3: Cho hàm số: y = -√5(x - 2). Với x < ....... thì y nhận giá trị dương.

Câu 1.4: Chu vi của một hình chữ nhật là 96cm. Biết tỉ lệ của chiều dài và chiều rộng là 5/3. Diện tích của hình chữ nhật là: .......... cm2.

Câu 1.5: Cho tam giác ABC vuông tại A có AB/AC = 0,75 và BC = 15cm. Khi đó chu vi của tam giác ABC là ........ cm.

Bài 2: Đỉnh núi trí tuệ

Câu 2.1: Điền dấu thích hợp vào chỗ chấm: √5 + √11 ........ √6 + 5

Câu 2.2: Số -135/4000 khi viết dưới dạng thập phân sẽ là ..........

Câu 2.3: Ba tổ học sinh trồng được 179 cây. Số cây tổ 1 trồng bằng 6/11 so với số cây tổ 2 và bằng 7/10 so với tổ 3. Vậy tổng số cây tổ 2 và tổ 3 đã trồng là ........ cây.

Câu 2.4: Biết (24 : 4).2n = 128. Vậy n = ..........

Câu 2.5: 10 chàng trai câu được 10 con cá trong 5 phút. Vậy 50 chàng trai câu được 50 con cá trong ....... phút.

Câu 2.6: Hai con gà trong 1,5 ngày đẻ 2 quả trứng. Vậy 4 con gà trong 1,5 tuần đẻ được số quả trứng là .......... quả.

Câu 2.7: Cho tỷ lệ thức: Đề thi violympic toán lớp 7khi đó x/y = ...........

Câu 2.8: Biết Ix - 5I - x = 3. Vậy giá trị của x thỏa mãn điều kiện trên là: x = .........

Câu 2.9: Cho ΔABC = ΔDEF. Biết góc B = 50o, góc D = 70o. Vậy số đo góc C là ......... o.

Câu 2.10: Cho tam giác ABC vuông tại A, biết AB + AC = 49cm, AB - AC = 7cm. Khi đó độ dài cạnh BC = ........ cm.

Bài 3: Hãy điền số thích hợp vào chỗ chấm:

Câu 3.1: Biết a/2 = b/3 = c/4 và a + 2b - 3c = -20. Khi đó a + b + c = .........

Câu 3.2: Số dư của phép chia 3n + 2 - 2n + 2 + 3n - 2n (với n là số nguyên dương) cho 10 là ..........

Câu 3.3: Biết lớp 7A ít hơn lớp 7B là 5 học sinh và tỉ số học sinh của hai lớp là 8 : 9. Tổng số học sinh của hai lớp là ......... học sinh.

Câu 3.4: Số dư của phép chia 55 - 54 + 53 + 52 cho 7 là: .........

Câu 3.5: Biết a : b = 5 : 7. Trong đó a = 40. Khi đó a2 + b2 = ..........

Câu 3.6: Giá trị của biểu thức: Đề thi violympic toán lớp 7khi được làm tròn đến hàng đơn vị là: ..........

Câu 3.7: Để thỏa mãn điều kiện (2x + 5)2016 + (5y - 4)2016 ≤ 0 thì x = 2,5 và y = ..........

Câu 3.8: Ta có thể lập được tất cả ......... tỉ lệ thức từ bốn trong năm số: 5; 25; 125; 625; 3125.

Câu 3.9: Cho hàm số y = f(x), xác định bởi công thức y = -18/(2x -1). Khi đó f(-7) = ..........

Câu 3.10: Biết M là điểm thuộc đồ thị hàm số y = -5x + 1. Nếu hoành độ của nó bằng 0,2 thì tung độ của nó là.......

Đáp án đề thi Violympic Toán lớp 7 vòng 14

Bài 1: Vượt chướng ngại vật

Câu 1.1: 2,85

Câu 1.2: 1,6

Câu 1.3: 2

Câu 1.4: 540

Câu 1.5: 36

Bài 2: Đỉnh núi trí tuệ

Câu 2.1: <

Câu 2.2: -0,03375

Câu 2.3: 137

Câu 2.4: 5

Câu 2.5: 5

Câu 2.6: 28

Câu 2.7: 7/9

Câu 2.8: 1

Câu 2.9: 60

Câu 2.10: 35

Bài 3: Hãy điền số thích hợp vào chỗ chấm

Câu 3.1: 45

Câu 3.2: 0

Câu 3.3: 85

Câu 3.4: 4

Câu 3.5: 4736

Câu 3.6: 6

Câu 3.7: 0,8

Câu 3.8: 12

Câu 3.9: 1,2

Câu 3.10: 0

Chia sẻ bởi: 👨 Lê Thị tuyết Mai
Liên kết tải về

Chọn file cần tải:

Tìm thêm: Toán lớp 7 Toán 7
Xác thực tài khoản!

Theo Nghị định 147/2024/ND-CP, bạn cần xác thực tài khoản trước khi sử dụng tính năng này. Chúng tôi sẽ gửi mã xác thực qua SMS hoặc Zalo tới số điện thoại mà bạn nhập dưới đây:

Số điện thoại chưa đúng định dạng!
Số điện thoại này đã được xác thực!
Bạn có thể dùng Sđt này đăng nhập tại đây!
Lỗi gửi SMS, liên hệ Admin
Sắp xếp theo
👨
Đóng
Chỉ thành viên Download Pro tải được nội dung này! Download Pro - Tải nhanh, website không quảng cáo! Tìm hiểu thêm
Nhắn tin Zalo