Hỗ trợ tư vấn
Tư vấn - Giải đáp - Hỗ trợ đặt tài liệu
Mua gói Pro để tải file trên Download.vn (không bao gồm tài liệu cao cấp) và trải nghiệm website không quảng cáo
Tìm hiểu thêm »Đề thi Violympic Toán lớp 7 vòng 15 năm 2016 - 2017 có đáp án đi kèm, giúp các em học sinh lớp 7 ôn tập thật tốt kiến thức Toán học, nhằm đạt kết quả cao trong cuộc thi giải Toán qua mạng năm học 2016 - 2017. Nhờ đó, các em sẽ hệ thống lại kiến thức đã học một cách dễ dàng để ôn thi cho hiệu quả. Mời các em cùng tham khảo nội dung chi tiết dưới đây:
Bài 1: Đi tìm kho báu
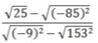
Câu 1: ![]()
A) 0,5
B) - 0,5
C) -2,5
D) 2,5
Câu 2: Hàm số y = f(x) = - 1/3x nhận giá trị dương khi
A) x bất kỳ
B) x > 0
C) x = 0
D) x < 0
Câu 3: Nếu 4,(56) = k.1,1(21) thì số k thỏa mãn là...
A) 4(6)
B) 4(0724)
C) 4,(072)
D) 4,(0684)
Câu 4: Số nào dưới đây không bằng 5/9?
A) ![]()
B) ![]()
C) 
D) 
Câu 5: Giá trị nào sau đây của n thỏa mãn đẳng thức x2y4 + 2x2y4 + 3x2y4 +...+ nx2y4 = 465x2y4 (với x, y ≠ 0)
A) 31
B) 29
C) 10
D) 30
Bài 2: Đừng để điểm rơi
Câu 1: Cho f(x) = (-3)/x2; g(x) = -4x; h(x) = x3 + 5. Khi đó f(-1) - 2(g2) + h(0) =...
Câu 2: ![]()
Câu 3: Cho tam giác ABC vuông tại A có AB = 10cm, AC = √189cm. Độ dài cạnh BC là:... cm
Câu 4: Cho tỉ lệ thức
(với a, c ≠ 0, c + b ≠ 0 và b ≠ 0). Khi đó c/a =...
Câu 5:

Câu 6: Cho tam giác ABC vuông ở A có AB = 16cm, BC = 20cm. Trên tia đối của tia AB lấy điểm D sao cho AD = 5cm. Khi đó độ dài đoạn thẳng CD là:... cm
Câu 7: Cho tam giác ABC có AB = 9cm, BC = 15cm, AC = 12cm. D là điểm trên cạnh AC sao cho AD - 2cm. Khi đó độ dài BD là... cm
Câu 8:
![]()
Câu 9:

Câu 10: Ba đội công nhân làm ba khối lượng công việc như nhau, mỗi công nhân có năng suất làm việc như nhau. Đội I hoàn thành công việc trong 4 ngày. Đội II hoàn thành công việc trong 6 ngày. Tổng số người của đội I và đội II gấp 5 lần số người đội III. Vậy đội III sẽ hoàn thành công việc trong... ngày.
Bài 3: Mười hai con giáp
Câu 1: Biết x : 2 = 2y : 3 và xy = 27. Khi đó giá trị của biểu thức A = x2 + y2 là:...
Câu 2:

Câu 3: Số các giá trị nguyên của n thỏa mãn ![]()
Câu 4:

Câu 5: Cần bỏ đi số nào trong tập hợp A = {-1; -2; -3;...; -11} để giá trị trung bình của các số còn lại không thay đổi.
Câu 6: Tìm độ dài mỗi cạnh của ΔABC = ΔDEF và chu vi tam giác DEF = 27cm. Độ dài mỗi cạnh của ΔABC bằng ... cm.
Câu 7: Cho x và y là hai đại lượng tỉ lệ nghịch x1 và x2 là hai giá trị của x, y1 và y2 là hai giá trị tương ứng của y. Biết x2 = 2; 2x1 - 3y2 = 22; y1 = 5. Khi đó x1 + y2 =...
Câu 8: Cho tam giác ABC vuông ở A có góc C = 600. Trên tia đối của tia AC lấy điểm D sao cho AD = AC. Khi đó số đo góc DBC bằng...
Câu 9: Cho tam giác ABC vuông tại A, đường cao AH. Tia phân giác của góc C và góc BAH cắt nhau tại I. Số đo góc AIC bằng...
Câu 10: Giá trị của biểu thức C = 4x4 - 3x2 - 2 với IxI = 1 là...
Bài 1: Đi tìm kho báu
Câu 1: C
Câu 2: D
Câu 3: C
Câu 4: C
Câu 5: D
Bài 2: Đừng để tiền rơi
| Câu 1: 18 Câu 2: 3 Câu 3: 17 Câu 4: 1 Câu 5: 30/77 |
Câu 6: 13 Câu 7: 9,22 Câu 8: 4/9 Câu 9: 101 Câu 10: 12 |
Bài 3: Mười hai con giáp
| Câu 1: 56 Câu 2: 1/10 Câu 3: 6 Câu 4: 2 Câu 5: -6 |
Câu 6: 9 Câu 7: - 14 Câu 8: 60 Câu 9: 90 Câu 10: - 1 |
Theo Nghị định 147/2024/ND-CP, bạn cần xác thực tài khoản trước khi sử dụng tính năng này. Chúng tôi sẽ gửi mã xác thực qua SMS hoặc Zalo tới số điện thoại mà bạn nhập dưới đây: