Hỗ trợ tư vấn
Tư vấn - Giải đáp - Hỗ trợ đặt tài liệu
Mua gói Pro để tải file trên Download.vn (không bao gồm tài liệu cao cấp) và trải nghiệm website không quảng cáo
Tìm hiểu thêm »
SỞ GIÁO DỤC VÀ ĐÀO TẠO
|
KỲ THI TUYỂN SINH LỚP 10 THPT
|
Câu 1 (2,0 điểm).
Cho biểu thức: ![]()
a. Tìm điều kiện xác định của biểu thức P.
b. Rút gọn P
Câu 2 (2,0 điểm).
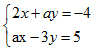
Cho hệ phương trình: 
a. Giải hệ phương trình với a=1
b. Tìm a để hệ phương trình có nghiệm duy nhất.
Câu 3 (2,0 điểm).
Một hình chữ nhật có chiều rộng bằng một nửa chiều dài. Biết rằng nếu giảm mỗi chiều đi 2m thì diện tích hình chữ nhật đã cho giảm đi một nửa. Tính chiều dài hình chữ nhật đã cho.
Câu 4 (3,0 điểm).
Cho đường tròn (O;R) (điểm O cố định, giá trị R không đổi) và điểm M nằm bên ngoài (O). Kẻ hai tiếp tuyến MB, MC (B,C là các tiếp điểm ) của (O) và tia Mx nằm giữa hai tia MO và MC. Qua B kẻ đường thẳng song song với Mx, đường thẳng này cắt (O) tại điểm thứ hai là A. Vẽ đường kính BB’ của (O). Qua O kẻ đường thẳng vuông góc với BB’,đường thẳng này cắt MC và B’C lần lượt tại K và E. Chứng minh rằng:
a. 4 điểm M, B, O, C cùng nằm trên một đường tròn.
b. Đoạn thẳng ME = R.
c. Khi điểm M di động mà OM = 2R thì điểm K di động trên một đường tròn cố định, chỉ rõ tâm và bán kính của đường tròn đó.
Câu 5 (1,0 điểm).
Cho a,b,c là các số dương thỏa mãn a+ b + c =4. Chứng minh rằng: ![]()
Download tài liệu để xem thêm chi tiết
Theo Nghị định 147/2024/ND-CP, bạn cần xác thực tài khoản trước khi sử dụng tính năng này. Chúng tôi sẽ gửi mã xác thực qua SMS hoặc Zalo tới số điện thoại mà bạn nhập dưới đây: