Hỗ trợ tư vấn
Tư vấn - Giải đáp - Hỗ trợ đặt tài liệu
Mua gói Pro để tải file trên Download.vn (không bao gồm tài liệu cao cấp) và trải nghiệm website không quảng cáo
Tìm hiểu thêm »
SỞ GIÁO DỤC VÀ ĐÀO TẠO
|
KỲ THI TUYỂN SINH THPT VÀO LỚP 10
|
Câu 1. (2,0 điểm)
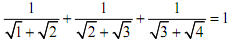
a) Chứng minh rằng: ![]()
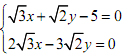
b) Giải hệ phương trình: 
Câu 2. (2,0 điểm)
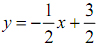
Cho hai hàm số: y = x2 và ![]()
a) Vẽ đồ thị của hai hàm số trên cùng một hệ trục tọa độ.
b) Tìm tọa độ giao điểm của hai đồ thị hàm số đã cho.
Câu 3. (2,0 điểm)
Cho phương trình: x2 + (1 - y)x + 4 - y = 0 (*)
a) Tìm y sao cho phương trình (*) ẩn x có một nghiệm kép.
b) Tìm cặp số (x; y) dương thỏa phương trình (*) sao cho y nhỏ nhất.
Câu 4. (4,0 điểm)
Cho tam giác ABC vuông cân tại A, D là trung điểm của AC, vẽ đường tròn (O) đường kính CD cắt BC tại E, BD cắt đường tròn (O) tại F.
a) Chứng minh rằng: ABCF là tứ giác nội tiếp.
b) Chứng minh rằng góc AFB = góc ACB và tam giác DEC cân.
c) Kéo dài AF cắt đường tròn (O) tại H. Chứng minh CEDH là hình vuông.
Download tài liệu để xem thêm chi tiết.
Chú ý:
- Nếu PC của bạn không đọc được file PDF, hãy tải phần mềm Foxit Reader để cài đặt
- Bạn sử dụng iPhone, iPad,... chạy hệ điều hành iOS có thể tải Foxit Mobile PDF Lite for iOS
- Bạn sử dụng điện thoại hệ điều hành Android thì tải phần mềm Adobe Reader for Android, MultiReader (Android) 0.8.4, eLibris eReader for Android
Theo Nghị định 147/2024/ND-CP, bạn cần xác thực tài khoản trước khi sử dụng tính năng này. Chúng tôi sẽ gửi mã xác thực qua SMS hoặc Zalo tới số điện thoại mà bạn nhập dưới đây: