Đề thi tuyển sinh lớp 10 THPT chuyên Lam Sơn tỉnh Thanh Hóa năm học 2013 - 2014 môn Toán Sở GD-ĐT Thanh Hóa

SỞ GIÁO DỤC VÀ ĐÀO TẠO
THANH HÓA

ĐỀ THI CHÍNH THỨC

KỲ THI TUYỂN SINH VÀO LỚP 10 THPT CHUYÊN LAM SƠN
NĂM HỌC 2013 - 2014

MÔN THI: TOÁN
Thời gian làm bài: 120 phút (không kể thời gian giao đề)

Câu 1:

Cho biểu thức

1. Rút gọn P.

2. Tìm giá trị của x để P = 3.

Câu 2:

Cho hệ phương trình: Đề thi tuyển sinh lớp 10 THPT chuyên Lam Sơn tỉnh Thanh Hóa

1. Giải hệ với m=3.

2. Tìm m để hệ có nghiệm duy nhất thỏa mãn x2 − x − y > 0.

Câu 3:

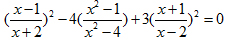
Giải phương trình Đề thi tuyển sinh lớp 10 THPT chuyên Lam Sơn tỉnh Thanh Hóa

Câu 4:

Cho 3 điểm A, B, C phân biệt thẳng hàng và theo thứ tự đó sao cho AB ≠ BC. Trong một nửa mặt phẳng bờ là đường thẳng AC dựng các hình vuông ABDE và BCFK. Gọi I là trung điểm của EF, đường thẳng qua I vuông góc với EF cắt các đường thẳng BD và AB lần lượt tại M và N. CMR:

1. Các tứ giác AEIN và EMDI nội tiếp,

2. Ba điểm A, I, D thẳng hàng và B, N, E, M, F cùng thuộc 1 đường tròn.

3. AK, EF, CD đồng quy.

Câu 5:

Cho 3 số thực dương x, y, z thỏa mãn x + y + z = 9. Tính giá trị nhỏ nhất của biểu thức:
Đề thi tuyển sinh lớp 10 THPT chuyên Lam Sơn tỉnh Thanh Hóa

Download tài liệu để xem thêm chi tiết.

Chia sẻ bởi:
Liên kết tải về
Tìm thêm: Toán 9 Toán 10
Xác thực tài khoản!

Theo Nghị định 147/2024/ND-CP, bạn cần xác thực tài khoản trước khi sử dụng tính năng này. Chúng tôi sẽ gửi mã xác thực qua SMS hoặc Zalo tới số điện thoại mà bạn nhập dưới đây:

Số điện thoại chưa đúng định dạng!
Số điện thoại này đã được xác thực!
Bạn có thể dùng Sđt này đăng nhập tại đây!
Lỗi gửi SMS, liên hệ Admin
Sắp xếp theo
👨
Đóng
Chỉ thành viên Download Pro tải được nội dung này! Download Pro - Tải nhanh, website không quảng cáo! Tìm hiểu thêm
Nhắn tin Zalo