Đề thi học sinh giỏi Văn hóa lớp 8 tỉnh Bắc Giang năm học 2012 - 2013 môn Toán - Có đáp án Sở GD&ĐT Bắc Giang

SỞ GIÁO DỤC VÀ ĐÀO TẠO
QUẢNG BÌNH
(Đề thi chính thức)

KỲ THI CHỌN HỌC SINH GIỎI VĂN HÓA CẤP TỈNH
NĂM HỌC 2012-2013
(Ngày thi: 30 tháng 3 năm 2013)

MÔN THI: TOÁN - LỚP 8
Thời gian làm bài: 150 phút (không kể thời gian giao đề)
--------------------------------------------------------------------------------

Câu 1. (4,5 điểm)

1) Phân tích biểu thức sau thành nhân tử: P = 2a3 + 7a2b + 7ab2 + 2b3

2) Cho x2 + x = 1. Tính giá trị biểu thức Q = x6 + 2x5 + 2x3 + 2x2 + 2x + 1.

Câu 2. (4,5 điểm)

1) Cho biểu thức: . Tìm x để biểu thức xác định, khi đó hãy rút gọn biểu thức.

2) Giải phương trình sau: |x - 2|(x - 1)(x + 1)(x + 2) = 4

Câu 3. (4,0 điểm)

1) Cho n là số tự nhiên lẻ. Chứng minh n3 - n chia hết cho 24.

2) Tìm số tự nhiên n để n2 + 4n + 2013 là một số chính phương.

Câu 4. (6,0 điểm)

1) Cho hình thang ABCD vuông tại A và D. Biết CD = 2AB = 2AD và .

a. Tính diện tích hình thang ABCD theo a.

b. Gọi I là trung điểm của BC, H là chân đường vuông góc kẻ từ D xuống AC. Chứng minh góc HDI = 45o.

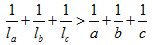
2) Cho tam giác ABC có BC = a, CA = b, AB = c. Độ dài các đường phân giác trong của tam giác kẻ từ các đỉnh A, B, C lần lượt là la, lb, lc. Chứng minh rằng:

Câu 5. (1,0 điểm)

Cho hai số không âm a và b thoả mãn a2 + b2 = a + b. Tìm giá trị lớn nhất của biểu thức:

Download tài liệu để xem thêm chi tiết

Chia sẻ bởi: 👨 Nguyễn Thu Ngân
Liên kết tải về
Tìm thêm: Toán lớp 8 Toán 8
Xác thực tài khoản!

Theo Nghị định 147/2024/ND-CP, bạn cần xác thực tài khoản trước khi sử dụng tính năng này. Chúng tôi sẽ gửi mã xác thực qua SMS hoặc Zalo tới số điện thoại mà bạn nhập dưới đây:

Số điện thoại chưa đúng định dạng!
Số điện thoại này đã được xác thực!
Bạn có thể dùng Sđt này đăng nhập tại đây!
Lỗi gửi SMS, liên hệ Admin
Sắp xếp theo
👨
Đóng
Chỉ thành viên Download Pro tải được nội dung này! Download Pro - Tải nhanh, website không quảng cáo! Tìm hiểu thêm
Nhắn tin Zalo