Hỗ trợ tư vấn
Tư vấn - Giải đáp - Hỗ trợ đặt tài liệu
Mua gói Pro để tải file trên Download.vn (không bao gồm tài liệu cao cấp) và trải nghiệm website không quảng cáo
Tìm hiểu thêm »
SỞ GIÁO DỤC VÀ ĐÀO TẠO
|
KỲ THI CHỌN ĐỘI TUYỂN HỌC SINH GIỎI
|
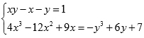
Bài 1. (4 điểm)
Giải hệ phương trình:
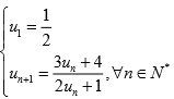
Bài 2. (4 điểm)
Cho dãy số (un) xác định bởi:
Chứng minh dãy số (un) có giới hạn hữu hạn và tìm giới hạn đó
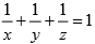
Bài 3. (4 điểm)
Cho x, y, z là các số dương thỏa mãn
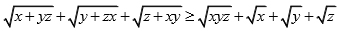
. Chứng minh:![]()
Bài 4. (4 điểm)
Cho tam giác nhọn ABC với các đường cao AH, BK nội tiếp đường tròn (O). Gọi M là một điểm di động trên cung nhỏ BC của đường tròn (O) sao cho các đường thẳng AM và BK cắt nhau tại E; các đường thẳng BM và AH cắt nhau tại F. Chứng minh rằng khi M di động trên cung nhỏ BC của đường tròn (O) thì trung điểm của đoạn EF luôn nằm trên một đường thẳng cố định.
Bài 5. (4 điểm)
Tìm tất cả các đa thức P(x) hệ số thực thỏa mãn: ![]()
Download tài liệu để xem thêm chi tiết
Theo Nghị định 147/2024/ND-CP, bạn cần xác thực tài khoản trước khi sử dụng tính năng này. Chúng tôi sẽ gửi mã xác thực qua SMS hoặc Zalo tới số điện thoại mà bạn nhập dưới đây: