Hỗ trợ tư vấn
Tư vấn - Giải đáp - Hỗ trợ đặt tài liệu
Mua gói Pro để tải file trên Download.vn (không bao gồm tài liệu cao cấp) và trải nghiệm website không quảng cáo
Tìm hiểu thêm »
SỞ GIÁO DỤC VÀ ĐÀO TẠO
|
KỲ THI CHỌN ĐỘI TUYỂN HỌC SINH GIỎI
|
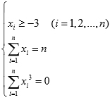
Bài 1. (4 điểm)
Cho số nguyên dương n. Giải và biện luận theo n hệ phương trình sau:

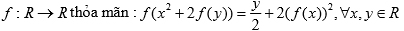
Bài 2. (4 điểm)
Tìm tất cả các hàm số ![]()
Bài 3. (4 điểm)
Giả sử số nguyên dương n có tất cả k ước dương là d1, d2, dk. Chứng minh rằng nếu d1 + d2 + ... + dk + k = 2n + 1 thì n/2 là số chính phương.
Bài 4. (4 điểm)
Cho ba đường tròn (C), (C1), (C2) trong đó (C1) và (C2) tiếp xúc trong với (C) tại B, C và (C1), (C2) tiếp xúc ngoài với nhau tại D. Tiếp tuyến chung trong của (C1) và (C2) cắt (C) tại hai điểm A và E. Đường thẳng AB cắt (C1) tại điểm thứ hai M đường thẳng AC cắt (C2) tại điểm thứ hai N. Chứng minh rằng:![]()
Bài 5. (4 điểm)
Cho một bảng ô vuông có 2012 x 2012 ô, mỗi ô đều điền vào một dấu + . Thực hiện phép biến đổi sau: đổi dấu toàn bộ một hàng hoặc một cột của bảng (+ thành – , – thành +). Hỏi sau một số lần thực hiện phép biến đổi, bảng có thể có đúng 18 dấu – được hay không?
Download tài liệu để xem thêm chi tiết
Theo Nghị định 147/2024/ND-CP, bạn cần xác thực tài khoản trước khi sử dụng tính năng này. Chúng tôi sẽ gửi mã xác thực qua SMS hoặc Zalo tới số điện thoại mà bạn nhập dưới đây: