Hỗ trợ tư vấn
Tư vấn - Giải đáp - Hỗ trợ đặt tài liệu
Mua gói Pro để tải file trên Download.vn (không bao gồm tài liệu cao cấp) và trải nghiệm website không quảng cáo
Tìm hiểu thêm »
SỞ GIÁO DỤC VÀ ĐÀO TẠO
|
KỲ THI CHỌN HỌC SINH GIỎI CẤP TỈNH LỚP 12
|
Câu I: (3,0 điểm)
Cho hàm số
có đồ thị (C)
Tìm các giá trị của tham số m để đường thẳng d: y = x + m cắt đồ thị (C) tại hai điểm phân biệt A và B sao cho tam giác OAB đều (với O là gốc tọa độ).
Câu II: (6,0 điểm)
1. Cho phương trình: ![]()
Tìm các giá trị của tham số m để phương trình có nghiệm thực.
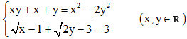
2. Giải hệ phương trình:
Câu III: (6,0 điểm)
1. Cho lăng trụ ABC.A'B'C' có đáy là tam giác đều cạnh a. Hình chiếu vuông góc của điểm A' lên mặt phẳng (ABC) trùng với trọng tâm tam giác ABC. Biết khoảng cách giữa hai đường thẳng AA' và BC bằng
. Tính theo a thể tích khối lăng trụ ABC.A'B'C'.
2. Cho điểm I nằm trong tứ diện ABCD. Các đường thẳng AI, BI, CI, DI lần lượt cắt các mặt phẳng (BCD), (CDA), (DAB), (ABC) tại A', B', C', D' thỏa mãn đẳng thức
. Gọi V, V1 lần lượt là thể tích của các khối tứ diện ABCD và IBCD. Chứng minh rằng V = 4V1
Câu IV: (2,5 điểm)
Trong mặt phẳng với hệ trục tọa độ Oxy, cho tam giác ABC nội tiếp đường tròn (T): x2 + y2 - 4x - 2y = 0 và đường phân giác trong của góc A có phương trình x - y = 0. Biết diện tích tam giác ABC bằng ba lần diện tích tam giác IBC (với I là tâm của đường tròn (T)) và điểm A có tung độ dương. Viết phương trình đường thẳng BC.
Câu V: (2,5 điểm)
Cho các số thực dương x, y, z thỏa mãn y2 ≥ xz và z2 ≥ xy. Tìm giá trị nhỏ nhất của biểu thức:![]()
Download tài liệu để xem thêm chi tiết
Theo Nghị định 147/2024/ND-CP, bạn cần xác thực tài khoản trước khi sử dụng tính năng này. Chúng tôi sẽ gửi mã xác thực qua SMS hoặc Zalo tới số điện thoại mà bạn nhập dưới đây: