Hỗ trợ tư vấn
Tư vấn - Giải đáp - Hỗ trợ đặt tài liệu
Mua gói Pro để tải file trên Download.vn (không bao gồm tài liệu cao cấp) và trải nghiệm website không quảng cáo
Tìm hiểu thêm »
SỞ GIÁO DỤC VÀ ĐÀO TẠO
|
KỲ THI CHỌN HỌC SINH GIỎI CẤP TỈNH
|
Bài 1: (3,0 điểm).
Cho hàm số y = x3 + 3mx (m là tham số)
Tìm m để đồ thị hàm số có hai điểm cực đại và cực tiểu lần lượt là A và B đồng thời tam giác cân tại C với C(-4; -2).
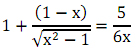
Bài 2: (3,0 điểm)
Giải phương trình: 
Bài 3: (3,0 điểm)
Tìm giá trị lớn nhất và giá trị nhỏ nhất của hàm số: ![]()
Bài 4: (4,0 điểm)
Tìm số các nghiệm nguyên dương của phương trình: x + y + z = 2012
Trong số các nghiệm này có bao nhiêu nghiệm (xo; yo; zo) trong đó xo; yo; zo đôi một khác nhau.
Bài 5: (3,0 điểm)
Tìm tọa độ các đỉnh của một hình thang cân ABCD biết rằng CD = 2AB, phương trình hai đường chéo AC = x + y - 4 = 0; BD = x - y - 2 = 0, các tọa độ hai điểm A, B đều dương và hình thang có diện tích bằng 36.
Bài 6: (4,0 điểm)
Cho hình chóp đều S.ABCD có cạnh bên bằng a, góc hợp bởi đường cao SH của hình chóp và mặt bên bằng α, cho a cố định, α thay đổi. Tìm α để thể tích khối chóp S.ABCD là lớn nhất.
(Cho biết: √2 ~ 1,4142; √3 ~ 1,7321)
Download tài liệu để xem thêm chi tiết.
Theo Nghị định 147/2024/ND-CP, bạn cần xác thực tài khoản trước khi sử dụng tính năng này. Chúng tôi sẽ gửi mã xác thực qua SMS hoặc Zalo tới số điện thoại mà bạn nhập dưới đây: