Hỗ trợ tư vấn
Tư vấn - Giải đáp - Hỗ trợ đặt tài liệu
Mua gói Pro để tải file trên Download.vn (không bao gồm tài liệu cao cấp) và trải nghiệm website không quảng cáo
Tìm hiểu thêm »
SỞ GIÁO DỤC VÀ ĐÀO TẠO
|
ĐỀ THI CHỌN HỌC SINH GIỎI CẤP TỈNH
|
Câu 1. (5,0 điểm)
Cho hàm số y = x3 + x2 + 1 (1)
1. Lập phương trình tiếp tuyến của đồthị hàm số (1) biết tiếp tuyến này vuông góc với đường thẳng d có phương trình x + 5y - 1 = 0
2. Tìm m để đường thẳng Δ có phương trình y = (m + 1)x + 1 cắt đồ thị hàm số (1) tại ba điểm phân biệt A(0;1), B, C, biết hai điểm B, C có hoành độ lần lượt là x1, x2 thỏa mãn:

Câu 2. (5,0 điểm)
1. Giải phương trình:
2. Giải hệ phương trình:
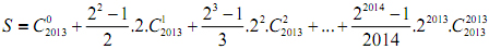
Câu 3. (2,0 điểm)
Tính tổng:![]()
Câu 4. (4,0 điểm)
1.Trong mặt phẳng tọa độ Oxy cho ba điểm A(1;1), B(3; 2), C(7;10). Lập phương trình đường thẳng Δ đi qua A sao cho tổng khoảng cách từ B và C đến đường thẳng Δ lớn nhất.
2. Trong không gian tọa độ Oxyz cho hai mặt cầu (S1): x2 + y2 + (z - 1)2 = 4 và (S2): (x - 3)2 + (y - 1)2 + (z + 1)2 = 25. Chứng minh rằng hai mặt cầu trên cắt nhau theo giao tuyến là một đường tròn. Tính bán kính đường tròn đó.
Câu 5. (3,0 điểm)
Cho hình chóp tam giác đều S. ABC có cạnh đáy bằng 1. Gọi M, N là hai điểm thay đổi lần lượt thuộc các cạnh AB, CD sao cho mặt phẳng (SMN) luôn vuông góc với mặt phẳng (ABC). Đặt AM = x, AN = y. Chứng minh rằng x + y = 3xy, từ đó tìm x, y để tam giác SMN có diện tích bé nhất, lớn nhất.
Câu 6. (1,0 điểm)
Cho ba số dương a, b, c thỏa mãn a2 + b2 + c2 = a3 + b3 + c3. Chứng minh rằng:![]()
Download tài liệu để xem thêm chi tiết
Theo Nghị định 147/2024/ND-CP, bạn cần xác thực tài khoản trước khi sử dụng tính năng này. Chúng tôi sẽ gửi mã xác thực qua SMS hoặc Zalo tới số điện thoại mà bạn nhập dưới đây: