Hỗ trợ tư vấn
Tư vấn - Giải đáp - Hỗ trợ đặt tài liệu
Mua gói Pro để tải file trên Download.vn (không bao gồm tài liệu cao cấp) và trải nghiệm website không quảng cáo
Tìm hiểu thêm »
SỞ GIÁO DỤC VÀ ĐÀO TẠO
|
KỲ THI HỌC SINH GIỎI THÀNH PHỐ - LỚP 9
|
Bài 1: (5 điểm)
a. Tìm các số thực a, b sao cho đa thức 4x4 - 11x3 - 2ax2 + 5bx - 6 chia hết cho đa thức x2 - 2x - 3
b. Cho biểu thức P = (a2013 - 8a2012 + 11a2011) + (b2013 - 8b2012 + 11b2011). Tính giá trị của P với a = 4 + √5 và b = 4 - √5
Bài 2: (5 điểm)
a. Giải hệ phương trình: 
2. Tìm các số nguyên x và y thỏa mãn: 6x2 + 10y2 + 2xy - x - 28y + 18 = 0
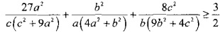
Bài 3: (2 điểm)
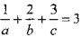
Cho ba số thực a, b, c dương thỏa mãn
. Chứng minh:![]()
Bài 4: (7 điểm)
Cho tam giác ABC có ba góc nhọn, nội tiếp đường tròn (O) và AB < AC. Các đường cao AD, BE, CF của tam giác ABC gặp nhau tại H. Gọi I là giao điểm hai đường thẳng EF và CB. Đường thẳng AI cắt (O) tại M (M khác A).
a. Chứng minh năm điểm A, M, F, H, E cùng nằm trên một đường tròn.
b. Gọi N là trung điểm của BC. Chứng minh ba điểm M, H, N thẳng hàng.
c. Chứng minh BM.AC + AM.BC = AB.MC
Bài 5: (1 điểm)
Cho 2013 điểm A1, A2,..., A2013 và đường tròn (O; 1) tùy ý cùng nằm trong mặt phẳng. Chứng minh trên đường tròn (O; 1) đó, ta luôn có thể tìm được một điểm Mm sao cho MA1 + MA2 + ... + MA2013 ≥ 2013
Câu I: (3,0 điểm)
1. Kể tên các yếu tố cấu thành nên hệ sinh thái.
2. Nêu các mối quan hệ sinh thái có thể có giữa các sinh vật với sinh vật trong quần thể và trong quần xã.
3. Trong hai nhóm sinh vật hằng nhiệt và biến nhiệt, sinh vật thuộc nhóm nào có khả năng chịu đựng cao hơn đối với sự thay đổi nhiệt độ của môi trường? Tại sao?
Câu II: (4,0 điểm)
1. Trong tự nhiên, sự tăng trưởng của quần thể phụ thuộc và chịu sự điều chinhrh chủ yếu của những nhân tố sinh thái nào? Nêu ảnh hưởng của những nhân tố đó.
2. Thế nào là sự cân bằng sinh học trong quần xã? Cho một ví dụ về ứng dụng hiện tượng khống chế sinh học trong sản xuất nông nghiệp.
3. Quan sát một cây bầu đang thời kì trổ hoa, phát hiện bọ xít đang hút nhựa cây, nhện chăng tơ bát bọ xít, tò vò đang bay săn nhện. Đếm cẩn thận thấy số lượng tò vò bằng 2 lần cây bầu, số lượng nhện gấp 2 lần tò vò, số lượng bọ xít bằng 2 lần nhện. Hãy biểu diễn chuỗi thức ăn trên và vẽ sơ đồ hình tháp sinh thái số lượng tương ứng.
Câu III: (2,0 điểm)
1. Cho biết cơ chế xác định giới tính ở gà.
2. Người ta biết trong tế bào sinh dưỡng của châu chấu cái có 24 nhiễm sắc thể và trong tế bào sinh dưỡng của châu chấu đực có 23 nhiễm sắc thể. Hãy cho biết cơ chế xác định giới tính ở châu chấu.
3. Ở ong, trứng không được thụ tinh sẽ nở ra ong đực. Từ phép lai P giữa một ong đực với một ong chúa cho ra kiểu gen của F1 như sau:
- Ong đực: AB, Ab, aB, ab
- Ong cái: AaBb, Aabb, aaBb, aabb.
Xác định kiểu gen của P và viết sơ đồ lai.
Câu IV: (4,0 điểm)
1. Khi lai hai cây lưỡng bội có kiểu gen AA và aa, người ta thu được một số cây lai có kiểu gen Aaa. Hãy giải thích cơ chế hình thành cây lai bằng 2 quy luật biến dị khác nhau.
2. Ưu thế lai là gì? Cho biết cơ sở di truyền của hiện tượng ưu thế lai. Tại sao người ta không dùng con lai F1 để nhân giống? Trong chăn nuôi và trồng trọt, muốn duy trì ưu thế lai người ta phải dùng biện pháp gì?
3. Cho cây cà chua I chưa biết kiểu gen, kiểu hình lai với cây cà chua II và cây cà chua III bởi hai phép lai sau đây:
* Phép lai thứ nhất:
P: Cây cà chua I × cây cà chua II
F1: Bốn kiểu hình theo tỷ lệ 3:3:1:1
* Phép lai thứ hai:
P: Cây cà chua I x cây cà chua III
F1: Bốn kiểu hình, trong đó cây cà chua quả vàng, bầu dục chiếm 1/16.
Hãy xác định kiểu gen và viết sơ đồ lai trong từng phép lai.
Biết rằng: tính trạng quả màu đỏ, dạng tròn là trội hoàn toàn so với tính trạng quả màu vàng, dạng bầu dục; các gen nằm trên các nhiễm sắc thể đồng dạng khác nhau; mỗi gen quy định một tính trạng.
Download tài liệu để xem thêm chi tiết.
Theo Nghị định 147/2024/ND-CP, bạn cần xác thực tài khoản trước khi sử dụng tính năng này. Chúng tôi sẽ gửi mã xác thực qua SMS hoặc Zalo tới số điện thoại mà bạn nhập dưới đây: