Đề thi Học sinh giỏi lớp 9 cấp Quận Cầu Giấy năm học 2012 - 2013 Môn: Toán

PHÒNG GIÁO DỤC VÀ ĐÀO TẠO
QUẬN CẦU GIẤY

ĐỀ THI CHÍNH THỨC

ĐỀ THI HỌC SINH GIỎI LỚP 9 CẤP QUẬN
NĂM HỌC: 2012 - 2013

Thời gian: 150 phút

MÔN THI: TOÁN

Bài 1: (4 điểm)

a) Cho hàm số: y = f(x) = (x3 + 9x - 11)2013

Tính f(a), biết Đề thi Học sinh giỏi lớp 9 cấp Quận Cầu Giấy

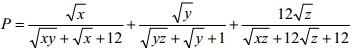
b) Cho x, y, z là ba số dương thỏa mãn điều kiện xyz = 144

Tính giá trị biểu thức:
Đề thi Học sinh giỏi lớp 9 cấp Quận Cầu Giấy

Bài 2: (4 điểm)

a) Tìm một số chính phương có bốn chữ số, biết rằng cả bốn chữ số của số đó đều nhỏ hơn 9 và nếu thêm vào mỗi chữ số 1 đơn vị thì ta được một số mới cũng là số chính phương.

b) Giải phương trình: Đề thi Học sinh giỏi lớp 9 cấp Quận Cầu Giấy

Bài 3: (3 điểm)

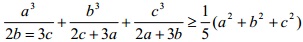
Cho ba số dương a, b, c. Chứng minh rằng:
Đề thi Học sinh giỏi lớp 9 cấp Quận Cầu Giấy

Bài 4: (1 điểm)

Một khu vườn có dạng hình chữ nhật, chiều dài m 95, chiều rộng m 74. Trong vườn có 50 cây dừa, cây to nhất có đường kính gốc cm 40. Chứng minh rằng trong khu vườn đó có ít nhất 13 mảnh đất, diện tích mỗi mảnh 100m2, không có một cây dừa nào.

Bài 5: (6 điểm)

Cho đoạn thẳng AB và điểm M nằm giữa A và B sao cho BM > AM. Vẽ đường tròn (O1) đường kính AM và đường tròn (O2) đường kính BM. Một tiếp tuyến chung ngoài của hai đường tròn tiếp xúc với (O1) tại C , tiếp xúc với (O2) tại D. Gọi E là giao điểm của AC và BD

a) Chứng minh rằng đường thẳng EM là tiếp tuyến chung trong của hai đường tròn (O1) và (O2).

b) Chứng minh: EC.EA = ED.EB

c) Cho AB = 12cm và AM = 4cm. Vẽ đường tròn (O) đường kính AB. Đường thẳng CD cắt đường tròn (O) tại H và K sao cho H thuộc cung AK nhỏ. Tính độ dài đoạn thẳng HK.

Bài 6: (2 điểm)

Cho đường tròn (O) nằm trong góc xAy sao cho (O) không có điểm chung với các cạnh của góc xAy, M là điểm di động trên đường tròn (O). Tìm vị trí của điểm M sao cho tổng khoảng cách từ M đến hai đường thẳng chứa hai cạnh của góc xAy là nhỏ nhất.

Download tài liệu để xem thêm chi tiết.

Chia sẻ bởi: 👨 Nguyễn Thu Ngân
Liên kết tải về
Xác thực tài khoản!

Theo Nghị định 147/2024/ND-CP, bạn cần xác thực tài khoản trước khi sử dụng tính năng này. Chúng tôi sẽ gửi mã xác thực qua SMS hoặc Zalo tới số điện thoại mà bạn nhập dưới đây:

Số điện thoại chưa đúng định dạng!
Số điện thoại này đã được xác thực!
Bạn có thể dùng Sđt này đăng nhập tại đây!
Lỗi gửi SMS, liên hệ Admin
Sắp xếp theo
👨
Đóng
Chỉ thành viên Download Pro tải được nội dung này! Download Pro - Tải nhanh, website không quảng cáo! Tìm hiểu thêm
Nhắn tin Zalo