Hỗ trợ tư vấn
Tư vấn - Giải đáp - Hỗ trợ đặt tài liệu
Mua gói Pro để tải file trên Download.vn (không bao gồm tài liệu cao cấp) và trải nghiệm website không quảng cáo
Tìm hiểu thêm »
SỞ GIÁO DỤC VÀ ĐÀO TẠO
|
KỲTHI CHỌN HỌC SINH GIỎI LỚP 12 THPT
|
MÔN THI: TOÁN
Thời gian làm bài: 180 phút (không kể thời gian giao đề)
--------------------------------------------------------------------------------
Câu I (4,0 điểm)
Cho hàm số: ![]()
1) Khảo sát sự biến thiên và vẽ đồ thị (C) của hàm số đã cho.
2) Gọi f(x) = x3 - 6x2 + 9x - 3, tìm số nghiệm của phương trình: [f(x)]3 - 6[f(x)]2 + 9f(x) - 3 = 0
Câu II (4,0 điểm)
1) Giải phương trình (1 + sinx)(1 - 2sinx) + 2(1 + 2sinx).cosx = 0
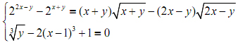
2) Giải hệ phương trình:
(x, y thuộc R)
Câu III (4,0 điểm)
1) Từ các chữ số 0, 1, 2, 3, 4 lập các số chẵn có 4 chữ số đôi một khác nhau. Lấy ngẫu nhiên một số vừa lập. Tính xác suất để lấy được số lớn hơn 2012.
2) Tính tích phân: 
Câu IV (6,0 điểm)
1) Trong mặt phẳng toạ độ Oxy cho đường tròn (C): x2 + y2 = 9, đường thẳng
và điểm A(3; 0). Gọi M là một điểm thay đổi trên (C) và B là điểm sao cho tứ giác ABMO là hình bình hành. Tính diện tích tam giác ABM, biết trọng tâm G của tam giác ABM thuộc Δ và G có tung độ dương.
2) Cho hình chóp S.ABCD, đáy là hình chữ nhật có AB = a và BC = 2a, mặt phẳng (SAB) vuông góc với đáy, các mặt phẳng (SBC) và (SCD) cùng tạo với đáy một góc bằng nhau. Biết khoảng cách giữa hai đường thẳng SA và BD bằng ![]()
a) Tính thể tích khối chóp S.ABCD.
b) Tính côsin góc giữa hai đường thẳng SA và BD
Câu V (2,0 điểm)
Cho các số thực x, y, z thoả mãn: ![]()
Tìm giá trị lớn nhất của biểu thức A = (3x - 1)(2y - 1)(z - 1)
Download tài liệu để xem thêm chi tiết
Theo Nghị định 147/2024/ND-CP, bạn cần xác thực tài khoản trước khi sử dụng tính năng này. Chúng tôi sẽ gửi mã xác thực qua SMS hoặc Zalo tới số điện thoại mà bạn nhập dưới đây: