Hỗ trợ tư vấn
Tư vấn - Giải đáp - Hỗ trợ đặt tài liệu
Mua gói Pro để tải file trên Download.vn (không bao gồm tài liệu cao cấp) và trải nghiệm website không quảng cáo
Tìm hiểu thêm »
SỞ GIÁO DỤC VÀ ĐÀO TẠO
|
KỲ THI CHỌN HỌC SINH GIỎI VÒNG TỈNH LỚP 12 THPT
|
Bài 1 (5 điểm).
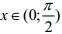
1. Giải bất phương trình sau trên tập số thực: ![]()
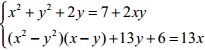
2. Giải hệ phương trình sau trên tập số thực:
Bài 2 (5 điểm).
Chứng minh rằng
đúng với mọi ![]()
Từ đó chứng minh rằng
đúng với mọi ![]()
Bài 3 (5 điểm).
Cho hình chóp S.ABC có góc SAC = SCB = ABC = 90o và SA = 25/4cm, AB = 4cm, BC = 3cm. Tính thể tích khối chóp S.ABC
Bài 4 (5 điểm).
Giải phương trình sau trên tập số thực: ![]()
Câu 1: (4,0 điểm)
Từ năm 1917 đến nay, hệ thống Xã hội Chủ nghĩa thế giới đã phát triển qua những giai đoạn nào? Cho biết nội dung và ý nghĩa của từng giai đoạn phát triển đó?
Câu 2: (4,0 điểm)
Nêu những nét chính về chính sách đối ngoại của Mĩ từ 1945 đến năm 2000?
Câu 3: (4,0 điểm)
Lập niên biểu những hoạt động của Nguyễn Ái Quốc từ năm 1919 đến năm 1925 theo những nội dung sau: thời gian, nội dung hoạt động, ý nghĩa?
Câu 4: (4 điểm)
Hoàn thành bảng thống kê các Hiệp ước đã kí giữa triều đình nhà Nguyễn với thực dân Pháp từ 1858 đến 1884 theo mẫu sau:
| Thời gian, tên Hiệp ước | Hoàn thành kí kết | Nội dung chính | Hậu quả |
Câu 5: (4 điểm)
Hãy phân tích tính chất cách mạng và khoa học của Cương lĩnh chính trị do Nguyễn Ái Quốc trình bày trong Hội nghị thành lập Đảng Cộng Sản Việt Nam (tháng 2 năm 1930)?
Download tài liệu để xem thêm chi tiết.
Theo Nghị định 147/2024/ND-CP, bạn cần xác thực tài khoản trước khi sử dụng tính năng này. Chúng tôi sẽ gửi mã xác thực qua SMS hoặc Zalo tới số điện thoại mà bạn nhập dưới đây: