Hỗ trợ tư vấn
Tư vấn - Giải đáp - Hỗ trợ đặt tài liệu
Mua gói Pro để tải file trên Download.vn (không bao gồm tài liệu cao cấp) và trải nghiệm website không quảng cáo
Tìm hiểu thêm »
SỞ GIÁO DỤC VÀ ĐÀO TẠO
|
KỲTHI CHỌN HỌC SINH GIỎI LỚP 12 THPT
|
MÔN THI: TOÁN
Thời gian làm bài: 180 phút (không kể thời gian giao đề)
--------------------------------------------------------------------------------
Bài 1. (4,0 điểm).
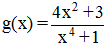
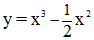
Cho hàm số
có đồ thị là (C).
Tìm tất cả những điểm trên đồ thị (C) sao cho hệ số góc của tiếp tuyến với đồ thị (C) tại những điểm đó là giá trị lớn nhất của hàm số:
.
Bài 2. (5,0 điểm).
Giải các phương trình sau trên tập số thực R:

Bài 3. (5,0 điểm).
Cho hình lăng trụ ABC.A’B’C’, đáy ABC là tam giác cân có AB = AC = a (a là một số thực dương) và mặt bên ACC’A’ là hình chữ nhật có AA’ = 2a. Hình chiếu vuông góc H của đỉnh B lên mặt phẳng (ACC’) nằm trên đoạn thẳng A’C.
1/ Chứng minh thể tích của khối chóp A’.BCC’B’ bằng 2 lần thể tích của khối chóp B.ACA’.
2/ Khi B thay đổi, xác định vị trí của H trên A’C sao cho khối lăng trụ ABC.A’B’C’ có thể tích lớn nhất.
3/ Trong trường hợp thể tích khối lăng trụ ABC.A’B’C’ là lớn nhất, tìm khoảng cách giữa AB và A’C.
Bài 4. (3,0 điểm).
Trong mặt phẳng tọa độ Oxy cho tam giác ABC có A(1;1); B(–2;–4); C(5;–1) và đường thẳng Δ: 2x – 3y + 12 = 0. Tìm điểm M thuộc Δ sao cho:
nhỏ nhất.
Bài 5 (3 điểm).
Cho m là số nguyên thỏa mãn: 0 < m < 2011. Chứng minh rằng
là một số nguyên.
Download tài liệu để xem thêm chi tiết
Theo Nghị định 147/2024/ND-CP, bạn cần xác thực tài khoản trước khi sử dụng tính năng này. Chúng tôi sẽ gửi mã xác thực qua SMS hoặc Zalo tới số điện thoại mà bạn nhập dưới đây: