Hỗ trợ tư vấn
Tư vấn - Giải đáp - Hỗ trợ đặt tài liệu
Mua gói Pro để tải file trên Download.vn (không bao gồm tài liệu cao cấp) và trải nghiệm website không quảng cáo
Tìm hiểu thêm »|
SỞ GIÁO DỤC VÀ ĐÀO TẠO ĐỀ CHÍNH THỨC |
KỲ THI CHỌN HỌC SINH GIỎI CẤP TỈNH LỚP 12 THPT ĐỀ THI MÔN: TOÁN |
Câu 1: (5 điểm)
1/ Cho hàm số y = x3 - 3x + 2 = 0 có đồ thị là (T). Giả sử A, B, C là ba điểm thẳng hàng trên (T), tiếp tuyến của (T) tại các điểm A, B, C lần lượt cắt (T) tại các điểm A’, B’, C’ (tương ứng khác A, B, C). Chứng minh rằng A’, B’, C’ thẳng hàng.
2/ Cho hàm số , chứng minh rằng y = x2n+1 + 2011x + 2012 (1) với mọi số nguyên dương n đồ thị hàm số (1) luôn cắt trục hoành tại đúng một điểm.
Câu 2: (5 điểm)
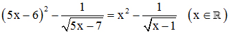
1/ Giải phương trình: 
2/ Giải phương trình: 
Câu 3: (3 điểm)
Kí hiệu Cknlà tổ hợp chập k của n phần tử
, tính tổng sau:

Câu 4: (5 điểm)
1/ Cho hình chóp tứ giác S.ABCD, có đáy ABCD là hình bình hành, AD = 4a (a > 0), các cạnh bên của hình chóp bằng nhau và bằng
. Tìm cosin của góc giữa hai mặt phẳng (SBC) và (SCD) khi thể tích của khối chóp S.ABCD là lớn nhất.
2/ Cho tứ diện ABCD có góc BAC = 600, CAD = 1200. Gọi E là chân đường phân giác trong góc A của tam giác ABD. Chứng minh rằng tam giác ACE vuông.
Câu 5: (2 điểm)
Cho hai số thực x, y thỏa mãn:
. Chứng minh rằng: 
Download tài liệu để xem thêm chi tiết
Theo Nghị định 147/2024/ND-CP, bạn cần xác thực tài khoản trước khi sử dụng tính năng này. Chúng tôi sẽ gửi mã xác thực qua SMS hoặc Zalo tới số điện thoại mà bạn nhập dưới đây: