Hỗ trợ tư vấn
Tư vấn - Giải đáp - Hỗ trợ đặt tài liệu
Mua gói Pro để tải file trên Download.vn (không bao gồm tài liệu cao cấp) và trải nghiệm website không quảng cáo
Tìm hiểu thêm »|
SỞ GIÁO DỤC VÀ ĐÀO TẠO ĐỀ CHÍNH THỨC |
KỲ THI CHỌN HỌC SINH GIỎI CẤP TỈNH LỚP 11 THPT ĐỀ THI MÔN: TOÁN |
Câu 1: (3.0 điểm)
a) Giải phương trình:

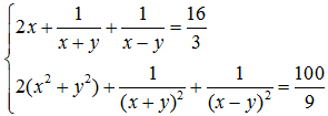
b) Giải hệ phương trình:

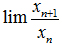
Câu 2: (2.0 điểm) Cho dãy số (xn) xác định như sau:

Tìm 
Câu 3: (3.0 điểm)
Cho tứ diện đều ABCD cạnh a. Gọi I, J lần lượt là trọng tâm các tam giác ABC và DBC. Mặt phẳng qua IJ cắt các cạnh AB, AC, DC, DB lần lượt tại các điểm M, N, P, Q với AM = x, AN = y (0 < x, y < a).
a) Chứng minh MN, PQ, BC đồng qui hoặc song song và MNPQ là hình thang cân.
b) Chứng minh rằng: a(x + y) = 3xy. Suy ra: 
c) Tính diện tích tứ giác MNPQ theo a và s = x + y
Câu 4: (1.0 điểm) Cho phương trình: ax2 + (2b + c)x + (2d + e) = 0 có một nghiệm không nhỏ hơn 4. Chứng minh rằng phương trình ax4 + ax3 + cx2 + dx + e = 0có nghiệm.
Câu 5: (1.0 điểm) Cho x, y, z > 0. Chứng minh rằng:

Download tài liệu để xem thêm chi tiết
Theo Nghị định 147/2024/ND-CP, bạn cần xác thực tài khoản trước khi sử dụng tính năng này. Chúng tôi sẽ gửi mã xác thực qua SMS hoặc Zalo tới số điện thoại mà bạn nhập dưới đây: