Hỗ trợ tư vấn
Tư vấn - Giải đáp - Hỗ trợ đặt tài liệu
Mua gói Pro để tải file trên Download.vn (không bao gồm tài liệu cao cấp) và trải nghiệm website không quảng cáo
Tìm hiểu thêm »|
SỞ GIÁO DỤC VÀ ĐÀO TẠO ĐỀ CHÍNH THỨC |
KỲ THI CHỌN HỌC SINH GIỎI CẤP TỈNH LỚP 10 THPT ĐỀ THI MÔN: TOÁN |
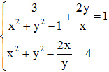
Bài 1.
a) Giải hệ phương trình: 
b) Trong mặt phẳng, với hệ toạ độ Oxy, chứng minh đồ thị hàm số sau cắt trục hoành tại ít nhất 1 điểm:

Bài 2.
Tìm tham số m để hàm số y = x3 + 3mx2 + 3(m + 1)x + 1 nghịch biến trên một đoạn có độ dài lớn hơn 4.
Bài 3.
Hai số thực x, y thoả mãn: x2 + 4y2 = 2. Tìm giá trị lớn nhất và giá trị nhỏ nhất của biểu thức: A = x3 + 4y3 - 3xy
Bài 4.
Hình chóp A.BCD có góc ACB = góc ADB = 900. AB = 2a. Đáy BCD là tam giác cân tại B, có góc CBD = 2α và CD = a. Tính thể tích khối chóp A.BCD theo a và α.
Bài 5.
Tam giác ABC không nhọn có các góc thoả mãn đẳng thức:

Hỏi tam giác ABC là tam giác gì?
Download tài liệu để xem thêm chi tiết
Theo Nghị định 147/2024/ND-CP, bạn cần xác thực tài khoản trước khi sử dụng tính năng này. Chúng tôi sẽ gửi mã xác thực qua SMS hoặc Zalo tới số điện thoại mà bạn nhập dưới đây: