Hỗ trợ tư vấn
Tư vấn - Giải đáp - Hỗ trợ đặt tài liệu
Mua gói Pro để tải file trên Download.vn (không bao gồm tài liệu cao cấp) và trải nghiệm website không quảng cáo
Tìm hiểu thêm »
SỞ GIÁO DỤC VÀ ĐÀO TẠO
|
KỲTHI CHỌN HỌC SINH GIỎI CẤP TỈNH
|
Môn: TOÁN – THPT CHUYÊN
Khóa ngày: 02/11/2012
--------------------------------
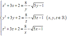
Câu 1 (2,5 điểm).
Giải hệ phương trình: 
Câu 2 (1,5 điểm).
Cho a, b, c, d là các số thực dương. Chứng minh rằng:
Câu 3 (2,0 điểm).
Giả sử n là một số nguyên dương sao cho 3n + 2n chia hết cho 7. Tìm số dư của 2n + 11n + 2012n2 khi chia cho 7.
Câu 4 (3,0 điểm).
Cho hình bình hành ABCD. Gọi P là điểm sao cho trung trực của đoạn thẳng CP chia đôi đoạn AD và trung trực của đoạn AP chia đôi đoạn CD. Gọi Q là trung điểm của đoạn thẳng BP.
a) Chứng minh rằng đường thẳng BP vuông góc với đường thẳng AC.
b) Chứng minh rằng BP = 4.OE, trong đó E là trung điểm của AC và O là tâm đường tròn ngoại tiếp tam giác AQC.
Câu 5 (1,0 điểm).
Cho m, n (m > n > 4) là các số nguyên dương và A là một tập hợp con có đúng n phần tử của tập hợp S = {1, 2, 3,..., m}.
Chứng minh rằng nếu m > (n - 1)(1 + C2n + C3n + C4n) thì ta luôn chọn được n phần tử đôi một phân biệt x1, x2,..., xn ∈ sao cho các tập hợp
thỏa mãn
với mọi j ≠ k và j, k = 1, n.
Download tài liệu để xem thêm chi tiết
Theo Nghị định 147/2024/ND-CP, bạn cần xác thực tài khoản trước khi sử dụng tính năng này. Chúng tôi sẽ gửi mã xác thực qua SMS hoặc Zalo tới số điện thoại mà bạn nhập dưới đây: