Hỗ trợ tư vấn
Tư vấn - Giải đáp - Hỗ trợ đặt tài liệu
Mua gói Pro để tải file trên Download.vn (không bao gồm tài liệu cao cấp) và trải nghiệm website không quảng cáo
Tìm hiểu thêm »
SỞ GIÁO DỤC VÀ ĐÀO TẠO
|
KỲ THI HỌC SINH GIỎI CẤP TỈNH GIẢI TOÁN TRÊN MÁY
|
MÔN THI: TOÁN LỚP 12
Thời gian làm bài: 150 phút (không kể thời gian giao đề)
--------------------------------------------------------------------------------
Bài 1: (2.0 điểm)
Tính tích phân sau: ![]()
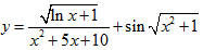
Bài 2: (2.0 điểm)
Tìm giá trị lớn nhất và giá trị nhỏ nhất của hàm số ![]()
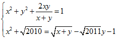
Bài 3: (2.0 điểm)
Giải hệ phương trình: 
Bài 4: (2,0 điểm)
Tìm m để hàm số
có khoảng cách giữa các điểm cực đại và cực tiểu là nhỏ nhất.
Bài 5: (2.0 điểm)
Giải phương trình: log2009x = 2010 - 2011x
Bài 6: (2.0 điểm)
Tìm 3 chữ số cuối của số tự nhiên: 124 + 1234 + 12344 + 123454
Bài 7: (2.0 điểm)
Tính giá trị đạo hàm của hàm số
tại điểm xo là hoành độ giao điểm của hai đồ thị: y = -2x2 và y = (x2 - 3x + 2)(x2 - 12x + 32)
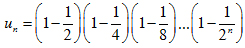
Bài 8: (2.0 điểm)
Cho dãy số: ![]()
a) Lập quy trình bấm phím tính un và Sn
b) Tính u5, u10 và S10
Bài 9: (2.0 điểm)
a/ Tính giá trị gần đúng biểu thức sau: 
b/ Cho dãy số
. Tính giá trị chính xác của và các giá trị gần đúng của u10, u15, u20
Bài 10: (2.0 điểm)
Cho hình chóp có SA = x và tất cả các cạnh còn lại có độ dài bằng 2. Tìm x để thể tích của khối chóp bằng
.
Download tài liệu để xem thêm chi tiết
Theo Nghị định 147/2024/ND-CP, bạn cần xác thực tài khoản trước khi sử dụng tính năng này. Chúng tôi sẽ gửi mã xác thực qua SMS hoặc Zalo tới số điện thoại mà bạn nhập dưới đây: