Hỗ trợ tư vấn
Tư vấn - Giải đáp - Hỗ trợ đặt tài liệu
Mua gói Pro để tải file trên Download.vn (không bao gồm tài liệu cao cấp) và trải nghiệm website không quảng cáo
Tìm hiểu thêm »
SỞ GIÁO DỤC VÀ ĐÀO TẠO
|
KỲ THI CHỌN HỌC SINH GIỎI CẤP TỈNH
|
Bài 1: (5 điểm).
Tìm tọa độ các điểm cực trị của đồ thị hàm số ![]()
Bài 2: (5 điểm).
Cho hình thang ABCD có đường chéo AC = 7, BD = 5, cạnh đáy CD = 1, góc giữa hai đường th ẳng AC và BD bằng 150. Tính độ dài cạnh đáy AB.
Bài 3: (5 điểm).
Tìm giá trị lớn nhất và giá trị nhỏ nhất của hàm số ![]()
Bài 4: (5 điểm).
Tính gần đúng nghiệm (độ, phút, giây) của phương trình ![]()
Bài 5: (5 điểm).
Giải hệ phương trình: 
Bài 6: (5 điểm).
Cho hai đường tròn có bán kính bằng nhau và bằng 1, chúng đi qua tâm của nhau. Tính diện tích phần chung của hai hình tròn đó.
Bài 7: (5 điểm).
Tính các cạnh của hình hộp chữ nhật biết thể tích của nó bằng 15,625; diện tích toàn phần bằng 62,5 và các cạnh lập thành một ấp số nhân.
Bài 8: (5 điểm).
Trong hộp có 100 viên bi được đánh số từ 1 đến 100. Chọn ngẫu nhiên đồng thời 3 viên. Tính xác suất của biến cố: "Tổng 3 số trên 3 viên bi là một ố chia hết cho 3"
Bài 9: (5 điểm).
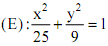
Trong mặt phẳng tọa độ Oxy, cho elip
và đường thẳng (d ) : y = 2010x + 2011
a) Tìm tọa độ giao điểm A và B của (E) và (d).
b) Tìm tọa độ điểm M trên (E) sao cho tam giác MAB có diện tích lớn nhất.
Bài 10: (5 điểm).
Cho dãy số {Xn}, n thuộc N* được xác định như sau: x1 = 2/3 và ![]()
Tính tổng của 2010 số hạng đầu tiên.
Download tài liệu để xem thêm chi tiết
Theo Nghị định 147/2024/ND-CP, bạn cần xác thực tài khoản trước khi sử dụng tính năng này. Chúng tôi sẽ gửi mã xác thực qua SMS hoặc Zalo tới số điện thoại mà bạn nhập dưới đây: