Hỗ trợ tư vấn
Tư vấn - Giải đáp - Hỗ trợ đặt tài liệu
Mua gói Pro để tải file trên Download.vn (không bao gồm tài liệu cao cấp) và trải nghiệm website không quảng cáo
Tìm hiểu thêm »
TRƯỜNG THCS BÌNH MỸĐỀ CHÍNH THỨC |
ĐỀ KIỂM TRA HỌC KỲ I - KHỐI LỚP 7
|
Bài 1: (3,0 điểm)
Câu 1: Thực hiện các phép tính sau:

Câu 2: (2,5 điểm)
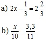
1. Tìm x, biết:
2. Tìm hai số x và y biết: ![]()
Bài 2: (1,5 điểm)
Ba bạn Thi, Học và Kỳ tiết kiệm được tổng số tiền là 168.000 đồng. Ba bạn muốn sử dụng số tiền tiết kiệm được để mua một số đồ dùng học tập. Hỏi mỗi bạn có bao nhiêu tiền tiết kiệm để mua đồ dùng học tập cho mình, biết rằng số tiền của ba bạn lần lượt tỉ lệ với 3 ; 4 ; 5.
Bài 3: (3,0 điểm)
Cho hai đoạn thẳng AD và BC cắt nhau tại trung điểm O của mỗi đoạn thẳng.
a) Chứng minh ΔAOB = ΔDOC
b) Chứng minh AB = CD
c) Chứng minh AC // BD
(Vẽ hình, ghi giả thiết, kết luận 0,5 điểm)
A. Phần trắc nghiệm: (3 điểm, mỗi câu đúng được 0,25 điểm)
Đọc kỹ và trả lời câu hỏi bằng cách ghi chữ cái ở đầu câu trả lời đúng vào tờ giấy làm bài:
Câu 1: Bài thơ "Sông núi nước Nam" thường được gọi là gì?
A. Hồi kèn xung trận B. Khúc ca khải hoàn
C. Áng thiên cổ hùng văn D. Bản tuyên ngôn độc lập đầu tiên
Câu 2: Bài thơ "Sông núi nước Nam" ra đời trong hoàn cảnh nào?
A. Ngô Quyền đánh quân Nam Hán trên sông Bạch Đằng
B. Lý Thường Kiệt chống quân Tống trên sông Như Nguyệt
C. Trần Quang Khải chống giặc Nguyên ở bến Chương Dương
D. Quang Trung đại phá quân Thanh
Câu 3: Nhà thơ Hồ Xuân Hương được mệnh danh là:
A. Nữ hoàng thi ca B. Thi tiên
C. Bà chúa thơ Nôm D. Thi thánh
Câu 4: Chủ đề bài thơ “Cảm nghĩ trong đêm thanh tĩnh” (Tĩnh dạ tứ) là?
A. Đăng sơn ức hữu (Lên núi nhớ bạn)
B. Vọng nguyệt hoài hương (Trông trăng nhớ quê)
C. Sơn thủy hữu tình (Non nước hữu tình)
D. Tức cảnh sinh tình (Trước cảnh sinh tình)
Câu 5: Bài thơ “Qua Đèo Ngang” của Bà Huyện Thanh Quan thuộc thể thơ nào?
A. Thất ngôn bát cú B. Song thất lục bát
C. Thất ngôn tứ tuyệt D. Ngũ ngôn
Câu 6: Từ nào là đại từ trong câu ca dao sau?
“Ai đi đâu đó hỡi ai
Hay là trúc đã nhớ mai đi tìm”.
A. Trúc B. Mai
C. Ai D. Nhớ
Câu 7: Trong câu “Tôi đi đứng oai vệ”, đại từ “Tôi” thuộc ngôi thứ mấy?
A. Ngôi thứ hai, số ít B. Ngôi thứ nhất, số ít
C. Ngôi thứ nhất, số nhiều D. Ngôi thứ ba, số ít
Câu 8: Chữ “Thiên” trong từ nào sau đây không có nghĩa là “Trời”?
A. Thiên lý B. Thiên thư
C. Thiên hạ D. Thiên thanh
Câu 9: Từ nào sau đây đồng nghĩa với từ “Thi nhân”?
A. Nhà văn B. Nhà báo
C. Nhà thơ D. Nhạc sĩ
Câu 10: Cặp từ nào sau đây không phải là cặp từ trái nghĩa?
A. Trẻ / già B. Sáng / tối
C. Sang / hèn D. Chạy / nhảy
Câu 11: Nghệ thuật nổi bật của bài thơ "Sông núi nước Nam" là gì?
A. Ngôn ngữ sáng rõ, cô đọng, hòa trộn giữa ý tưởng và cảm xúc
B. Sử dụng nhiều biện pháp tu từ, ngôn ngữ giàu cảm xúc
C. Sử dụng điệp ngữ và các yếu tố trùng điệp
D. Nhiều hình ảnh ẩn dụ, tượng trưng.
Câu 12: Thành ngữ trong câu: "Mẹ đã phải một nắng hai sương vì chúng con" giữ vai trò gì?
A. Chủ ngữ B. Vị ngữ
C. Bổ ngữ D. Trạng ngữ
B. Phần tự luận: (7 điểm)
Câu 1: (2.0 điểm).
Nhận xét ngắn gọn sự khác nhau của cụm từ "ta với ta" trong hai bài thơ "Qua Đèo Ngang" của Bà Huyện Thanh Quan và "Bạn đến chơi nhà" của Nguyễn Khuyến.
Câu 2: (5.0 điểm).
Viết bài văn biểu cảm (có sử dụng yếu tố miêu tả, tự sự) cho đề bài sau đây: «Cảm nghĩ về loài cây em yêu»
Download tài liệu để xem thêm chi tiết.
Theo Nghị định 147/2024/ND-CP, bạn cần xác thực tài khoản trước khi sử dụng tính năng này. Chúng tôi sẽ gửi mã xác thực qua SMS hoặc Zalo tới số điện thoại mà bạn nhập dưới đây: