Hỗ trợ tư vấn
Tư vấn - Giải đáp - Hỗ trợ đặt tài liệu
Mua gói Pro để tải file trên Download.vn (không bao gồm tài liệu cao cấp) và trải nghiệm website không quảng cáo
Tìm hiểu thêm »
TRƯỜNG THPT CHUYÊN
|
KỲ THI CHẤT LƯỢNG HỌC KỲ I NĂM HỌC 2012 - 2013
|
Câu 1: (3 điểm)
Giải các phương trình lượng giác sau:
a. √3cosx + sinx = -2.
b. 4sin2x - 3sinxcosx - cos2x = 0.
c. (sinx - 1)(2cos22x + 3sin2x - 2) = 0.
Câu 2: (2 điểm)
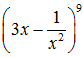
Tìm số hạng không chứa x trong khai triển 
Câu 3: (2 điểm)
Từ một bộ bài tú lơ khơ có 52 con, rút ngẫu nhiên cùng một lúc ba con. Tính xác xuất sao cho:
a. Cả ba con đều là con K;
b. Được hai con K và một con không phải là K.
Câu 4: (3 điểm)
Cho hình chóp S.ABCD có đáy ABCD là hình bình hành. Gọi M, N, P lần lượt là trung điểm của các cạnh SB, SD và BC.
a. Chứng minh rằng MN song song với BD;
b. Xác định giao tuyến của hai mặt phẳng (MNP) và (ABCD). Xác định thiết diện của hình chóp S.ABCD cắt bởi mặt phẳng (MNP)
Download tài liệu để xem thêm chi tiết.
Theo Nghị định 147/2024/ND-CP, bạn cần xác thực tài khoản trước khi sử dụng tính năng này. Chúng tôi sẽ gửi mã xác thực qua SMS hoặc Zalo tới số điện thoại mà bạn nhập dưới đây: