Hỗ trợ tư vấn
Tư vấn - Giải đáp - Hỗ trợ đặt tài liệu
Mua gói Pro để tải file trên Download.vn (không bao gồm tài liệu cao cấp) và trải nghiệm website không quảng cáo
Tìm hiểu thêm »
TRƯỜNG THPT CHUYÊN
|
KỲ THI CHẤT LƯỢNG HỌC KỲ I NĂM HỌC 2012 - 2013
|
Câu 1 (2 điểm):
Viết công thức cấu tạo của các hợp chất dị vòng sau đây:
a) 2-Metyl-5-phenylthiophen.
b) Axit 3-etylpirol-2-cacboxylic.
c) 2,6-Đi-tert-butylpiriđin.
d) Etyl piriđin-3-cacboxylat.
Câu 2 (3 điểm):
Cho các chất: anabazin; nicotin; nicotirin.

a) Viết phương trình phản ứng xảy ra khi cho mỗi chất trên tác dụng với HCl theo tỷ lệ mol 1 : 1.
b) Sắp xếp các chất theo chiều tăng dần tính bazơ.
c) Oxi hóa nicotin bằng K2Cr2O7 trong dung dịch H2SO4 thu được axit nicotinic.Viết công thức cấu tạo của axit nicotinic và so sánh nhiệt độ nóng chảy của nó với axit benzoic. Giải thích.
Câu 3 (3 điểm):
Cho furfuran (hay là furan-2-cacbanđehit) vào các hoá chất sau:
a) CH3COCH3, có mặt dung dịch NaOH loãng;
b) (CH3CO)2O có mặt CH3COONa, rồi đun với dung dịch axit;
c) C6H5NHNH2 trong etanol đun nóng.
d) Dung dịch KOH.
Viết các sơ đồ phản ứng.
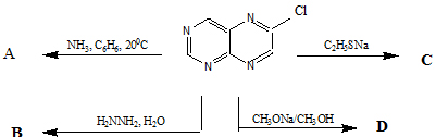
Câu 4. (2 điểm):
Viết các phương trình phản ứng thực hiện sơ đồ sau:

Download tài liệu để xem thêm chi tiết.
Theo Nghị định 147/2024/ND-CP, bạn cần xác thực tài khoản trước khi sử dụng tính năng này. Chúng tôi sẽ gửi mã xác thực qua SMS hoặc Zalo tới số điện thoại mà bạn nhập dưới đây: