Hỗ trợ tư vấn
Tư vấn - Giải đáp - Hỗ trợ đặt tài liệu
Mua gói Pro để tải file trên Download.vn (không bao gồm tài liệu cao cấp) và trải nghiệm website không quảng cáo
Tìm hiểu thêm »|
PHÒNG GIÁO DỤC VÀ ĐÀO TẠO ĐỀ THI CHÍNH THỨC |
ĐỀ KIỂM TRA HỌC KỲ I NĂM HỌC 2013 - 2014 Môn thi: TOÁN |
Câu 1 (2.0 điểm)
1) Tính giá trị biểu thức ![]()
2) Rút gọn biểu thức ![]()
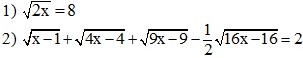
Câu 2 (2.0 điểm) Giải các phương trình sau:

Câu 3 (2.0 điểm) Cho hàm số y = (m - 1)x + m - 4 (x là biến, m # 1)
1) Xác định hàm số biết rằng đồ thị hàm số đi qua điểm A(2; 3)
2) Vẽ đồ thị hàm số tìm được ở trên.
Câu 4 (3.0 điểm) Cho đường tròn (O) đường kính AB, E thuộc đoạn thẳng AO (E khác A, O và AE > EO). Gọi H là trung điểm của AE, kẻ dây CD vuông góc với AE tại H.
1) Chứng minh AC vuông góc với BC.
2) Tứ giác ACED là hình gì, chứng minh?
3) Gọi I là giao điểm của DE và BC. Chứng minh HI là tiếp tuyến của đường tròn đường kính EB.
Câu 5 (1.0 điểm) Cho hàm số y = (m – 1)x + m + 2 (m # 1)
Tìm giá trị của m để đồ thị hàm số tạo với trục tung và trục hoành một tam giác có diện tích bằng 2 (đơn vị diện tích)
--------------------------------------------------
|
PHÒNG GIÁO DỤC VÀ ĐÀO TẠO ĐỀ THI CHÍNH THỨC |
ĐỀ KIỂM TRA HỌC KỲ I NĂM HỌC 2013 - 2014 Môn thi: NGỮ VĂN |
Câu 1 (3 điểm). Cho đoạn trích sau:
“ … Nhưng sao lại nảy ra cái tin như vậy được? Mà thằng chánh Bệu thì đích là người làng không sai rồi. Không có lửa làm sao có khói ? Ai người ta hơi đâu bịa tạc ra những chuyện ấy làm gì. Chao ôi! Cực nhục chưa, cả làng Việt gian! Rồi đây biết làm ăn, buôn bán ra sao? Ai người ta chứa. Ai người ta buôn bán mấy Suốt cả cái nước Việt Nam này người ta ghê tởm, người ta thù hằn cái giống Việt gian bán nước... Lại còn bao nhiêu người làng, tan tác mỗi người một phương nữa, không biết họ đã rõ cái cơ sự này chưa?.”
a. Đoạn trích trên thuộc văn bản nào? Do ai sáng tác? Hoàn cảnh sáng tác tác phẩm?
b. Đoạn văn trên là suy nghĩ của nhân vật nào? Nhân vật đó đang ở trong hoàn cảnh nào?
c. Nghệ thuật xây dựng nhân vật trong đoạn văn trên có gì đặc sắc?
Câu 2 (2 điểm).
Vận dụng hiểu biết về các phép tu từ trình bày cảm nhận của em về đoạn thơ sau bằng một đoạn văn:
Nhóm bếp lửa ấp iu nồng đượm
Nhóm niềm yêu thương, khoai sắn ngọt bùi
Nhóm nồi xôi gạo mới sẻ chung vui
Nhóm dậy cả những tâm tình tuổi nhỏ...
(Bằng Việt - Bếp lửa)
Câu 3 (5 điểm).
Trong vai ông họa sĩ kể lại tác phẩm “Lặng lẽ Sa Pa” của Nguyễn Thành Long.
Download tài liệu để xem chi tiết.
Theo Nghị định 147/2024/ND-CP, bạn cần xác thực tài khoản trước khi sử dụng tính năng này. Chúng tôi sẽ gửi mã xác thực qua SMS hoặc Zalo tới số điện thoại mà bạn nhập dưới đây: