Hỗ trợ tư vấn
Tư vấn - Giải đáp - Hỗ trợ đặt tài liệu
Mua gói Pro để tải file trên Download.vn (không bao gồm tài liệu cao cấp) và trải nghiệm website không quảng cáo
Tìm hiểu thêm »|
SỞ GIÁO DỤC VÀ ĐÀO TẠO Đề chính thức |
KÌ THI CHỌN HỌC SINH GIỎI TỈNH Môn: Toán Lớp 9 Trung học cơ sở |
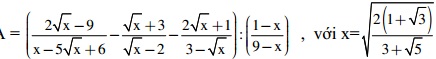
Bài 1 (5 điểm): Tính giá trị của biểu thức sau:

Bài 2 (5 điểm): Tính giá trị của biểu thức:

Bài 3 (5 điểm): Bốn đội máy cày gồm 36 máy làm việc trên bốn cánh đồng có diện tích bằng nhau. Đội I hoàn thành trong 4 ngày, đội II hoàn thành trong 6 ngày, đội III hoàn thành trong 10 ngày, đội IV hoàn thành trong 12 ngày. Giả sử năng suất của mỗi máy bằng nhau. Tính số máy của mỗi đội.
Bài 4 (5 điểm): Giải phương trình
|2x - 1| + |x + 3| + |5x + 7| = 12
Bài 5 (5 điểm): Giải phương trình:
![]()
Bài 6 (5 điểm):
Trong mặt phẳng Oxy, cho ba đường thẳng lần lượt có phương trình là: d1: y = 2x - 6; d2: y = -3x + 9; d3: y = x/2 + 3/2. Biết d1
cắt d2 tại A, d1 cắt d3 tại B, d2 cắt d3 tại C. Tính số đo các góc của tam giác ABC.
Bài 7 (5 điểm):
Tìm giá trị nhỏ nhất của biểu thức: A = 3x2 + 2x + 1
Bài 8 (5 điểm):
Cho tam giác ABC vuông ở A, biết BC = 8,916cm và AD là phân giác trong của góc A. Biết BD = 3,178cm. Tính AB, AC.
Bài 9 (5 điểm):
Cho hình thang cân có hai đường chéo vuông góc với nhau, đáy nhỏ dài 13,742cm, cạnh bên dài 21,867cm. Tính diện tích hình thang đó.
Bài 10 (5 điểm):
Cho hình thoi có cạnh bằng 241cm, chiều cao bằng 120cm. Tính các góc của hình thoi.
Download tài liệu để xem chi tiết.
Theo Nghị định 147/2024/ND-CP, bạn cần xác thực tài khoản trước khi sử dụng tính năng này. Chúng tôi sẽ gửi mã xác thực qua SMS hoặc Zalo tới số điện thoại mà bạn nhập dưới đây: