Hỗ trợ tư vấn
Tư vấn - Giải đáp - Hỗ trợ đặt tài liệu
Mua gói Pro để tải file trên Download.vn (không bao gồm tài liệu cao cấp) và trải nghiệm website không quảng cáo
Tìm hiểu thêm »| TRƯỜNG THPT CHUYÊN HÀ NỘI – AMSTERDAM TỔ TOÁN – TIN |
ĐỀ THI HỌC KỲ 2 MÔN TOÁN LỚP 12 NĂM HỌC 2011 – 2012 Thời gian làm bài: 120 phút |
Bài 1: (2,5 điểm)
Cho hàm số: y = x3 + 3x2 - 4 (C).
a) Khảo sát sự biến thiên và vẽ đồ thị (C) của hàm số.
b) Tìm tọa độ các cặp điểm nằm trên đồ thị (C) của hàm số biết rằng chúng đối xứng nhau qua gốc tọa độ.
Bài 2: (2,5 điểm)
a) Tính tích phân: 
b) Tính diện tích hình phẳng giới hạn bởi hai đường thẳng (d1): x + y = 0; (d2): y = 8 và đường cong (C): y = x3.
Bài 3: (3 điểm)
Trong mặt phẳng tọa độ Oxyz cho hai đường thẳng 
a) Chứng minh rằng (d1), (d2) chéo nhau và vuông góc với nhau.
b) Viết phương trình mặt phẳng (P) chứa (d1) và song song với (d2).
c) Viết phương trình mặt cầu (S ) có đường kính là đoạn vuông góc chung của (d1) và (d2)
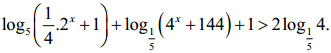
Bài 4: (2 điểm)
a) Giải bất phương trình: 
b) Tìm số phức z biết rằng z thỏa mãn điều kiện 
Download tài liệu để xem thêm chi tiết
Theo Nghị định 147/2024/ND-CP, bạn cần xác thực tài khoản trước khi sử dụng tính năng này. Chúng tôi sẽ gửi mã xác thực qua SMS hoặc Zalo tới số điện thoại mà bạn nhập dưới đây: