Hỗ trợ tư vấn
Tư vấn - Giải đáp - Hỗ trợ đặt tài liệu
Mua gói Pro để tải file trên Download.vn (không bao gồm tài liệu cao cấp) và trải nghiệm website không quảng cáo
Tìm hiểu thêm »| TRƯỜNG THPT CHUYÊN HÀ NỘI – AMSTERDAM TỔ TOÁN – TIN |
ĐỀ THI HỌC KỲ 2 MÔN TOÁN LỚP 11 NĂM HỌC 2010 – 2011 Thời gian làm bài: 120 phút |
Bài 1. Tìm ba số hạng đầu của một cấp số nhân, biết rằng tổng của ba số hạng này bằng 21, đồng thời theo thứ tự này, chúng là số hạng thứ nhất, thứ ba và thứ mười lăm của một cấp số cộng.
Bài 2.
a) Tìm giới hạn 
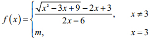
b) Tìm giá trị của tham số m để hàm số sau liên tục tại x = 3:

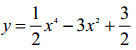
Bài 3. Cho hàm số
có đồ thị (C).
a) Viết phương trình tiếp tuyến của đồ thị (C) của hàm số tại những điểm có hoành độ thỏa mãn y '' = 0.
b) Viết phương trình tiếp tuyến của đồ thị (C) của hàm số biết rằng tiếp tuyến đi qua điểm A(0; 3/2).
Bài 4. Cho hình chóp S.ABCD có đáy ABCD là hình vuông cạnh a, mặt bên SAB là tam giác đều và vuông góc với đáy.
a) Tính khoảng cách từ A đến mặt phẳng (SCD).
b) Tính góc giữa hai mặt phẳng (SAB) và (SCD).
c) Gọi E là trung điểm của SA. Chứng minh rằng CE vuông góc với SA.
d) Cho điểm M di động trên đoạn SA. Gọi I là hình chiếu vuông góc của điểm S trên mặt phẳng (CDM ). Chứng minh rằng khi M thay đổi thì điểm I di động trên một đường tròn cố định.
Bài 5. (Chỉ dành cho các lớp 11T2, 11L1, 11L2, 11H1, 11H2, 11Tin)
Cho phương trình (m2 + 1)x3 - 2m2x2 - 4x + m2 + 1 = 0, với m là tham số. Chứng minh rằng phương trình đã cho luôn có ba nghiệm phân biệt với mọi giá trị của tham số m.
Chú ý:
- Đối với các lớp 11T2, 11L1, 11L2, 11H1, 11H2, 11Tin, thang điểm như sau: Bài 1: 2 điểm, bài 2: 2 điểm: bài 3: 2 điểm, bài 4: 3,5 điểm, bài 5: 0,5 điểm.
- Đối với các lớp còn lại, thang điểm như sau: Bài 1: 2 điểm, bài 2: 2 điểm: bài 3: 2 điểm, bài 4: 4 điểm.
Download tài liệu để xem thêm chi tiết
Theo Nghị định 147/2024/ND-CP, bạn cần xác thực tài khoản trước khi sử dụng tính năng này. Chúng tôi sẽ gửi mã xác thực qua SMS hoặc Zalo tới số điện thoại mà bạn nhập dưới đây: