Hỗ trợ tư vấn
Tư vấn - Giải đáp - Hỗ trợ đặt tài liệu
Mua gói Pro để tải file trên Download.vn (không bao gồm tài liệu cao cấp) và trải nghiệm website không quảng cáo
Tìm hiểu thêm »Đề thi giữa học kì 2 môn Toán lớp 10 trường THPT Đoàn Thượng, Hải Dương năm học 2016 - 2017 gồm 2 mã đề chẵn, lẻ, có đáp án đi kèm. Mời quý thầy cô và các bạn học sinh cùng tham khảo, nhằm chuẩn bị cho kỳ thi học kì 2 sắp tới.
Bộ đề thi giữa học kì 2 môn Toán lớp 10 (Có đáp án)
Bộ đề thi giữa học kỳ 2 môn tiếng Anh lớp 10 năm học 2016 - 2017 có đáp án
|
SỞ GD&ĐT HẢI DƯƠNG TRƯỜNG THPT ĐOÀN THƯỢNG |
ĐỀ KIỂM TRA 45 PHÚT ĐẠI SỐ 10 - BÀI SỐ 4 NĂM HỌC 2016 – 2017 Thời gian làm bài: 45 phút |
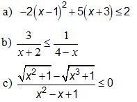
ĐỀ LẺ (Dành cho thí sinh có số báo danh lẻ)
Câu 1: (3,0 điểm). Giải bất phương trình và hệ bất phương trình sau:
![]()
Câu 2: (4,0 điểm). Giải các bất phương trình sau:

Câu 3: (2,0 điểm). Tìm các giá trị của m để bất phương trình sau vô nghiệm:
f(x) = (m + 1)x2 - 2(3 - 2m)x + m + 1 ≥ 0
Câu 4: (1,0 điểm). Cho ba số a, b, c dương thỏa mãn a + b + c = 3. Chứng minh rằng:
![]()
----------HẾT----------
|
SỞ GD&ĐT HẢI DƯƠNG TRƯỜNG THPT ĐOÀN THƯỢNG |
ĐỀ KIỂM TRA 45 PHÚT ĐẠI SỐ 10 - BÀI SỐ 4 NĂM HỌC 2016 – 2017 Thời gian làm bài: 45 phút |
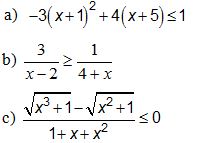
ĐỀ CHẴN (Dành cho thí sinh có số báo danh chẵn)
Câu 1: (3,0 điểm). Giải bất phương trình và hệ bất phương trình sau:
![]()
Câu 2: (4,0 điểm). Giải các bất phương trình sau:

Câu 3: (2,0 điểm). Tìm các giá trị của m để bất phương trình sau vô nghiệm:
f(x) = (m - 1)x2 + 2(3 + 2m)x + m - 1 ≥ 0
Câu 4: (1,0 điểm). Cho ba số a, b, c dương thỏa mãn a + b + c = 3. Chứng minh rằng:
![]()




Theo Nghị định 147/2024/ND-CP, bạn cần xác thực tài khoản trước khi sử dụng tính năng này. Chúng tôi sẽ gửi mã xác thực qua SMS hoặc Zalo tới số điện thoại mà bạn nhập dưới đây: