Đề thi giải toán trên Máy tính cầm tay tỉnh Bạc Liêu môn Toán lớp 12 năm 2010 (Có đáp án) Sở GD&ĐT Bạc Liêu

SỞ GIÁO DỤC VÀ ĐÀO TẠO
BẠC LIÊU
(Đề thi chính thức)

KỲ THI GIẢI TOÁN TRÊN MÁY TÍNH CẦM TAY
NĂM 2010

MÔN THI: TOÁN - LỚP 12 cấp THPT
(Thời gian làm bài 150 phút không kể thời gian giao đề)
Ngày thi: 10/01/2010
--------------------------------------------------------------------------------


Bài 1: (5 điểm)

Tính gần đúng (độ, phút, giây) nghiệm của phương trình: 4cos2x + 3sinx = 2

Bài 2: (5 điểm)

Tính giá trị biểu thức:

Bài 3: (5 điểm)

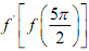
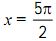
Cho hàm số y = f(x) = x2 + sinx - 2cosx + 4

a) Tính gần đúng giá trị của

b) Gọi y = ax + b là phương trình tiếp tuyến của đồ thị hàm số tại điểm có hoành độ . Tìm giá trị gần đúng của a, b.

Bài 4: (5 điểm)

Tính gần đúng giá trị lớn nhất của hàm số y = f(x) = 5cosx - cos5x trên

Bài 5: (5 điểm)

Tìm tất cả các nghiệm gần đúng của phương trình: 23x-4 + 3x2 + lgx - 2 = 0

Bài 6: (5 điểm)

Tìm một số có 5 chữ số, biết rằng nếu ta xóa đi 3 chữ số cuối cùng thì sẽ được một số mới bằng căn bậc ba của số ban đầu.

Bài 7: (5 điểm)

Cho dãy số với số hạng tổng quát được cho bời công thức
với n = 1, 2, 3, ... k, ...

a) Tính U1, U2, U3, U4, U5, U6, U7, U8

b) Lập công thức truy hồi tính Un+1 theo Un và Un-1

Bài 8: (5 điểm)

Cho tam giác ABC vuông ở A, đường cao AH. Vẽ đường tròn tâm O đường kính AH. Đường tròn này cắt các cạnh AB, AC theo thứ tự ở D và E. Các tiếp tuyến của đường tròn tâm O kẻ từ D và E cắt cạnh BC tương ứng tại M và N. Tính diện tích tứ giác MDEN khi

Bài 9: (5 điểm)

Trong mp (P), cho hình chữ nhật ABCD với AB = 3,54 và BC = 2,43. Một điểm M nằm trên đường tròn (C) đường kính BD trong mp (Q) vuông góc với mp (P) theo giao tuyến BD. Tính gần đúng thể tích hình chóp M.ABCD khi

Bài 10: (5 điểm)

Khi sản xuất vỏ lon sữa bò hình trụ, các nhà thiết kế luôn đặt mục tiêu sao cho chi phí nguyên liệu làm vỏ hộp (sắt tây) là ít nhất, tức là diện tích toàn phần của hình trụ là nhỏ nhất. Em hãy cho biết diện tích toàn phần của lon khi ta muốn có thể tích của lon là 314cm3

Download tài liệu để xem thêm chi tiết

Chia sẻ bởi: 👨 Nguyễn Thu Ngân
Liên kết tải về
Tìm thêm: Toán 12
Xác thực tài khoản!

Theo Nghị định 147/2024/ND-CP, bạn cần xác thực tài khoản trước khi sử dụng tính năng này. Chúng tôi sẽ gửi mã xác thực qua SMS hoặc Zalo tới số điện thoại mà bạn nhập dưới đây:

Số điện thoại chưa đúng định dạng!
Số điện thoại này đã được xác thực!
Bạn có thể dùng Sđt này đăng nhập tại đây!
Lỗi gửi SMS, liên hệ Admin
Sắp xếp theo
👨
Đóng
Chỉ thành viên Download Pro tải được nội dung này! Download Pro - Tải nhanh, website không quảng cáo! Tìm hiểu thêm
Nhắn tin Zalo