Hỗ trợ tư vấn
Tư vấn - Giải đáp - Hỗ trợ đặt tài liệu
Mua gói Pro để tải file trên Download.vn (không bao gồm tài liệu cao cấp) và trải nghiệm website không quảng cáo
Tìm hiểu thêm »
SỞ GIÁO DỤC VÀ ĐÀO TẠO
|
ĐỀ THI GIẢI TOÁN TRÊN MÁY TÍNH CẦM TAY
|
Bài 1:
Đồ thị hàm số y = ax4 + bx3 + cx2 + d đi qua bốn điểm A(-2; -32); B(0; -4); C(1; 5) và D(3; 113).
1. Xác định giá trị của a, b, c, d
2. Tìm tọa độ gần đúng các điểm cực trị của đồ thị hàm số.
Bài 2:
Cho dãy số {xn} với n = 1, 2, 3,... thỏa mãn x1 = 1,49999999 và xn+1 = 2xn3 - 5xn2 + 4xn với n = 1, 2, 3,...
1. Chứng minh rằng dãy ố có giói hạn hữu hạn.
2. Tìm giá trị nhỏ nhất của n để cho |xn - 1| < 10-7
Bài 3:
Tìm gần đúng giá trị lớn nhất và nhỏ nhất của hàm số: ![]()
Bài 4:
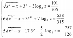
Tìm nghiệm gần đúng của hệ phương trình:
Bài 5:
Cho dãy số {un} được xác định như sau: u1 = 2; u2 = 5;
1. Viết quy trình bấm phím liên tục tính giá trị của u8; u12; u16 của dãy.
2. Gọi Sn là tổng của n số hạng đầu tiên của dãy. Tính S10; S15; S20
Bài 6:
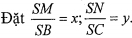
Cho hình tư diện SABC. Gọi G là trọng tâm tam giác SBC, mặt phẳng (P) đi qua A, G cắt SB, SC lần lượt tại M, N. ![]()
1. Chứng minh hệ thức: x + y = 3xy
2. Gọi V1, V lần lượt là thể tích tứ diện SAMN, SABC. Tìm tập giá trị của V1/V khi x thay đổi.
Download tài liệu để xem thêm chi tiết.
Theo Nghị định 147/2024/ND-CP, bạn cần xác thực tài khoản trước khi sử dụng tính năng này. Chúng tôi sẽ gửi mã xác thực qua SMS hoặc Zalo tới số điện thoại mà bạn nhập dưới đây: