Hỗ trợ tư vấn
Tư vấn - Giải đáp - Hỗ trợ đặt tài liệu
Mua gói Pro để tải file trên Download.vn (không bao gồm tài liệu cao cấp) và trải nghiệm website không quảng cáo
Tìm hiểu thêm »|
SỞ GIÁO DỤC-ĐÀO TẠO ĐỀ CHÍNH THỨC |
KÌ THI CHỌN HSG LỚP 12 THPT NĂM HỌC 2014-2015 Thời gian: 180 phút, không kể thời gian giao đề |
Câu 1 (2,5 điểm).
a) Tìm tham số m để hàm số y = x3 + 3mx2 +3(m+1)x + 2 nghịch biến trên một đoạn có độ dài lớn hơn 4.
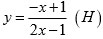
b) Chứng minh rằng với mọi a, đường thẳng d: y = x + a luôn cắt đồ thị hàm số
tại hai điểm phân biệt A,B. Gọi
k1, k2 lần lượt là hệ số góc của các tiếp tuyến với (H) tại A và B . Tìm a để tổng k1 + k2 đạt giá trị lớn nhất.
Câu 2 (2,0 điểm).
a) Giải phương trình:
![]()
![]()
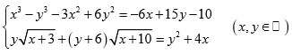
Câu 3 (1,5 điểm).
Giải hệ phương trình:

Câu 4 (1,5 điểm).
Trong mặt phẳng với hệ tọa độ Oxy , cho tam giác ABC có trung điểm của cạnh BC là điểm M (3;-1) , đường thẳng chứa đường cao kẻ từ đỉnh B đi qua điểm E (-1;-3) và đường thẳng chứa cạnh AC đi qua điểm F (1;3). Tìm tọa độ các đỉnh của tam giác ABC , biết rằng điểm đối xứng của đỉnh A qua tâm đường tròn ngoại tiếp tam giác ABC là điểm D (4;-2) .
Download file tài liệu để xem thêm chi tiết
Theo Nghị định 147/2024/ND-CP, bạn cần xác thực tài khoản trước khi sử dụng tính năng này. Chúng tôi sẽ gửi mã xác thực qua SMS hoặc Zalo tới số điện thoại mà bạn nhập dưới đây: