Hỗ trợ tư vấn
Tư vấn - Giải đáp - Hỗ trợ đặt tài liệu
Mua gói Pro để tải file trên Download.vn (không bao gồm tài liệu cao cấp) và trải nghiệm website không quảng cáo
Tìm hiểu thêm »
SỞ GIÁO DỤC VÀ ĐÀO TẠO
|
KÌ THI CHỌN ĐỘI TUYỂN HỌC SINH GIỎI LỚP 12
|
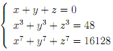
Câu 1: (4 điểm)
Giải hệ phương trình sau trên tập số thực R:

Câu 2: (4 điểm)
Cho dãy số nguyên (un) được xác định như sau:
a. Chứng minh rằng: ![]()
b. Chứng minh rằng:
là số chính phương với mọi n, n thuộc N*
Câu 3: (4 điểm)
Cho nửa đường tròn (T) tâm O, đường kính AB = 2R và điểm P di động trên (T) (P khác A và B). Gọi (O1) và (O2) là hai đường tròn nhận OP làm tiếp tuyến chung, đồng thời (O1) tiếp xúc với (T) và OA theo thứ tự là M, N, (O2) tiếp xúc với (T) và OB theo thứ tự tại H, L.
a. Chứng minh rằng khi P di động trên (T) thì các đường thẳng MN và HL luôn cùng đi qua một điểm cố định K.
b. Gọi C, D theo thứ tự là giao điểm thứ hai của (O1) với MA và MB, E là giao điểm của CN với BK và F là giao điểm của DN với AK. Chứng minh rằng khi P di động trên (T), ta luôn có bất đẳng thức p > R(3 + √2), trong đó p là chu vi tứ giác ABEF.
Câu 4: (4 điểm)
Cho dãy 2013 số nguyên dương a1, a2, a3,..., a2013 thỏa mãn mỗi số không lớn hơn 4026 và với hai số bất kì thì bội số chung nhỏ nhất của hai số ấy luôn lớn hơn 4026. Chứng minh rằng mọi số hạng của dãy số đã cho đều lớn hơn 1342.
Câu 5: (4 điểm)
Trong một bảng ô vuông có 10 x 10 ô được điền ở tất cả các ô là dấu "+". Một bước thực hiện bằng cách đổi toàn bộ những dấu ở một hàng hoặc một cột nào đó sang dấu ngược lại. Có khả năng hay không sau hữu hạn bước như trên, bảng ô vuông nhận được có đúng 6 dấu "-"? Hãy chứng minh khẳng định của mình
Download tài liệu để xem thêm chi tiết.
Chú ý:
- Nếu PC của bạn không đọc được file PDF, hãy tải phần mềm Foxit Reader để cài đặt
- Bạn sử dụng iPhone, iPad,... chạy hệ điều hành iOS có thể tải Foxit Mobile PDF Lite for iOS
- Bạn sử dụng điện thoại hệ điều hành Android thì tải phần mềm Adobe Reader for Android, MultiReader (Android) 0.8.4, eLibris eReader for Android
Theo Nghị định 147/2024/ND-CP, bạn cần xác thực tài khoản trước khi sử dụng tính năng này. Chúng tôi sẽ gửi mã xác thực qua SMS hoặc Zalo tới số điện thoại mà bạn nhập dưới đây: