Hỗ trợ tư vấn
Tư vấn - Giải đáp - Hỗ trợ đặt tài liệu
Mua gói Pro để tải file trên Download.vn (không bao gồm tài liệu cao cấp) và trải nghiệm website không quảng cáo
Tìm hiểu thêm »|
BỘ GIÁO DỤC VÀ ĐÀO TẠO HỘI ĐỒNG TUYỂN SINH SAU ĐẠI HỌC NĂM 2008 |
ĐỀ THI TUYỂN SINH CAO HỌC ĐỢT II, NĂM 2008 |
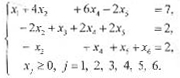
Câu 1: Giải bài toán quy hoạch tuyến tính (N) sau đây: f(X) = x1 + 5x2 - x3 + 2x4 - 4x5 - x6 -> min

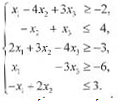
Câu 2: Xét bài toán quy hoạch tuyến tính (G) sau đây: f(X) = 4x1 - 3x2 - x3 -> min

Các biến x có dấu tùy ý, j = 1, 2, 3
Viết bài toán đối ngẫu (G*) của (G). Chỉ ra các cặp ràng buộc đối ngẫu
Kiểm tra xem phương án X0 = (-1, 1, 1) có là phương án, phương án tối ưu của bài toán (G) không? Tại sao?
Câu 3: Có hai lô hàng đựng các sản phẩm. Lô thứ nhất có 10 sản phẩm tốt và 2 phế phẩm. Lô thứ hai cos 12 sản phẩm tốt và 3 phế phẩm. Từ lô thứ nhất lấy ngẫu nhiên 1 sản phẩm, từ lô thứ hai lấy ngẫu nhiên 2 sản phẩm.
Tìm xác suất có ít nhất 1 phế phẩm trong 3 sản phẩm lấy được
Gọi X là số phế phẩm trong 3 sản phẩm lấy ra từ hai lô hàng. Hãy lập bảng phân phối xác suất và tính kì vọng, phương án sai của X.
Câu 4: Tại một trại chăn nuôi gia cầm, cân thử một số con gà, người ta ghi được bảng số liệu sau đây:

Hãy ước lượng khối lượng trung bình của các con gà ở trại chăn nuôi đó với độ tin cậy 95%. Biết rằng khối lượng là đại lượng có phân phối chuẩn với giá trị của hàm số Laplace phi(1,96) = 0,475
Cho biết số liệu trên thu được sau khi trại chăn nuôi áp dụng chế độ chăm sóc mới đối với gia cầm. Còn trước đó tỉ lệ gà nặng trên 1,5kg là 25%. Hãy đánh giá hiệu quả của chế độ chăm sóc đó với mức ý nghĩa 1%, biết giá trị của hàm số Laplace phi(2,58) = 0,495
Lưu ý: Các kết quả ở câu 4 cần làm tròn đến 4 chữ số sau dấy phẩy
Download tài liệu để xem thêm chi tiết.
Theo Nghị định 147/2024/ND-CP, bạn cần xác thực tài khoản trước khi sử dụng tính năng này. Chúng tôi sẽ gửi mã xác thực qua SMS hoặc Zalo tới số điện thoại mà bạn nhập dưới đây: