Hỗ trợ tư vấn
Tư vấn - Giải đáp - Hỗ trợ đặt tài liệu
Mua gói Pro để tải file trên Download.vn (không bao gồm tài liệu cao cấp) và trải nghiệm website không quảng cáo
Tìm hiểu thêm »|
TRƯỜNG ĐẠI HỌC BÌNH DƯƠNG HỘI ĐỒNG TUYỂN SINH SAU ĐẠI HỌC NĂM 2011 |
ĐỀ THI TUYỂN SINH CAO HỌC NĂM 2011 |
Câu 1 (1,5 điểm). Giải và biện luận hệ phương trình sau theo tham số thực m

Câu 2 (1,5 điểm). Xét mô hình Input - Output mở gồm 3 ngành kinh tế và ma trận hệ số đầu vào là:

a) Nêu ý nghĩa kinh tế của hệ số a23
b) Tìm mức sản lượng của 3 ngành kinh tế ứng với lượng sản phẩm yêu cầu của ngành kinh tế mở trị giá (130, 69, 79).
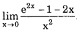
Câu 3. (1,0 điểm): Tính giới hạn 
Câu 4. (1,0 điểm) . Tìm cực trị của hàm số z = x2 - 6xy + y3 + x - 3y.
Câu 5. (1,0 điểm). Có hai lô hàng I và II. Lô I chứa 8 sản phẩm tốt và 6 sản phẩm xấu. Lô II chứa 10 sản phẩm tốt và 5 sản phẩm xấu. Chọn ngẫu nhiên từ mỗi lô 2 sản phẩm. Tính xác suất chọn được 2 sản phẩm tốt và 2 sản phẩm xấu.
Download tài liệu để xem thêm chi tiết.
Theo Nghị định 147/2024/ND-CP, bạn cần xác thực tài khoản trước khi sử dụng tính năng này. Chúng tôi sẽ gửi mã xác thực qua SMS hoặc Zalo tới số điện thoại mà bạn nhập dưới đây: