Hỗ trợ tư vấn
Tư vấn - Giải đáp - Hỗ trợ đặt tài liệu
Mua gói Pro để tải file trên Download.vn (không bao gồm tài liệu cao cấp) và trải nghiệm website không quảng cáo
Tìm hiểu thêm »Các dạng Toán bồi dưỡng học sinh giỏi bậc Tiểu học với các dạng bài tập khách nhau giúp các em học sinh lớp ôn tập thật tốt kiến thức môn Toán để chuẩn bị cho các kỳ thi học sinh giỏi. Sau đây, là nội dung chi tiết tài liệu mời quý thầy cô giáo và các em học sinh cùng tham khảo.
§ 1. CẤU TẠO SỐ TỰ NHIÊN
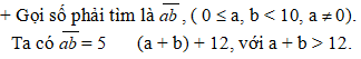
Bài 1: Tìm một số tự nhiên có 3 chữ số, biết rằng nếu lấy chữ số hàng chục chia cho chữ số hàng đơn vị thì được thương là 2 dư 2, chữ số hàng trăm chia cho chữ số hàng đơn vị thì được thương là 2 dư 1.
Hướng dẫn:
+ Gọi số cần tìm là
, (a, b, c là các chữ số từ 0 đến 9, a khác 0).
Ta có: b = c x 2 + 2. Chữ số hàng đơn vị phải lớn hơn 2 (vì số dư là 2). Chữ số hàng đơn vị cũng không thể lớn hơn 3 (vì nếu chẳng hạn bằng 4 thì b = 4 x 2 + 2 = 10). Vậy suy ra c = 3.
+ Ta thấy: b = 3 x 2 + 2 = 8. Theo đề bài ta lại có: a = c x 2 + 1 = 3 x 2 + 1 = 7.
Thử lại: 8 = 3 x 2 + 2; 7 = 3 x 2 + 1.
Bài 2: Tìm một số tự nhiên có 4 chữ số, biết rằng nếu lấy số đó cộng với tổng các chữ số của nó thì được 2000.
Hướng dẫn:

+ Từ đó tìm được c = 8 và d = 1.
Thử lại: 2000 – 1981 = 1 + 9 + 8 + 1 = 19.
Vậy số cần tìm là 1981.
Bài 3: Tìm số tự nhiên A có 2 chữ số, biết rằng B là tổng các chữ số của A và C là tổng các chữ số của B, đồng thời cho biết A = B + C + 51.
Hướng dẫn:

Vậy 66 là số cần tìm.
Bài 4:
Tìm một số tự nhiên có hai chữ số, biết rằng khi chia số đó cho hiệu của chữ số hàng chục và chữ số hàng đơn vị thì được thương là 15 và dư 2.
Hướng dẫn:

Hay b x 16 = a x 5 + 2
Nếu a lớn nhất là 9 thì a x 5 + 2 lớn nhất là 47.
Khi đó b x 16 lớn nhất là 47 nên b lớn nhất là 2 (vì 47 : 16 = 2 dư 15)
+ Vì a x 5 + 2 ≠ 0 nên b ≠ 0.
b = 1 thì a = 14 : 5 (loại)
b = 2 thì a = 6.
Thử lại (6 – 2) x 15 + 2 = 62.
Số phải tìm là 62.
Bài 5:
Tìm một số có 2 chữ số, biết rằng nếu lấy số đó chia cho tổng các chữ số của nó thì được thương là 5 dư 12.
Hướng dẫn:

Sau khi biến đổi ta có: 5 x a = 4 x b + 12.
+ Vì 4 x b + 12 chia hết cho 4 nên : 5 x a chia hết cho 4, suy ra a = 4 hoặc a = 8, thay vào ta tìm được a = 8. Thử lại thấy thoả mãn.
Kết luận: Số phải tìm là 87.
Bài 6:
Tìm một số tự nhiên có 3 chữ số, biết rằng nếu lấy số đó chia cho tổng các chữ số của nó thì được thương là 11.
Hướng dẫn:

Tài liệu vẫn còn, mời các bạn tải về để xem tiếp
Để phục vụ công tác giảng dạy và soạn giáo án, thầy cô giáo có thể tham khảo thêm các giáo án điện tử được Download.vn sưu tầm và cập nhật tại mục tài liệu học tập.
Ngoài ra, quý thầy cô và các bậc phụ huynh có thể tham khảo thêm các dạng bài tập theo từng môn học để hướng dẫn các em học sinh ôn tập và củng cố kiến thức nhằm đạt kết quả cao trong các kỳ thi.
Theo Nghị định 147/2024/ND-CP, bạn cần xác thực tài khoản trước khi sử dụng tính năng này. Chúng tôi sẽ gửi mã xác thực qua SMS hoặc Zalo tới số điện thoại mà bạn nhập dưới đây: