Hỗ trợ tư vấn
Tư vấn - Giải đáp - Hỗ trợ đặt tài liệu
Mua gói Pro để tải file trên Download.vn (không bao gồm tài liệu cao cấp) và trải nghiệm website không quảng cáo
Tìm hiểu thêm »Giải bài tập SGK Hóa học 12 trang 47, 48, 49, 50, 51, 52, 53 sách Cánh diều giúp các em học sinh lớp 12 xem gợi ý giải các câu hỏi Bài 7: Peptide, protein và enzyme thuộc Chủ đề 3: Hợp chất chứa Nitrogen.
Soạn Hóa 12 Cánh diều Bài 7 các em sẽ biết cách trả lời toàn bộ các câu hỏi bài học này. Đồng thời, qua tài liệu này giúp quý thầy cô tham khảo để soạn giáo án cho học sinh của mình theo chương trình mới. Vậy mời thầy cô và các em cùng theo dõi bài viết dưới đây của Download.vn:
Casein là loại protein chủ yếu có trong sữa.
a) Dự đoán casein là loại protein tan hay không tan trong nước.
b) Vì sao uống sữa giúp giảm bớt nguy hiểm khi bị ngộ độc bởi muối chì, muối thủy ngân.
c) Tìm hiểu cách làm sữa chua và cho biết yếu tố nào đã tạo nên độ đặc của sữa chua.
Lời giải:
a) Dự đoán casein là loại protein không tan trong nước. Sữa là nhũ tương.
b) Vì casein là một loại protein do đó sẽ tạo phản ứng đông tụ với dung dịch muối chì, muối thủy ngân và tách ra khỏi dung dịch để tránh hóa chất thấm sâu vào các cơ quan bên trong cơ thể.
c) * Cách làm sữa chua:
- Nguyên liệu:
- Thực hiện:
- Lưu ý khi ủ sữa chua:
* Độ đặc của sữa chua là do lactic acid:
Sữa chua có vị sánh, sệt do vi khuẩn lactic đã biến dịch trong sữa thành dịch chứa nhiều lactic acid.
Đường lactose + (xt) vi khuẩn lactic ⟶ lactic acid + năng lượng (ít).
Từ đó, độ pH trong sữa giảm thấp, casein trong sữa sẽ đông tụ và làm cho sữa từ lỏng trở thành sệt.
Protein cũng có thể bị đông tụ bởi ethanol: Tìm hiểu và cho biết:
a) Vì sao dùng cồn xoa vào tay có thể hạn chế lây nhiễm SARS-CoV-2 qua đường tiếp xúc?
b) Tìm hiểu và cho biết vì sao trong y tế thường dùng còn 70o để sát khuẩn mà không dùng cồn 90o.
Lời giải:
a) Vì vi khuẩn, virus được cấu tạo từ các protein, mà protein cũng có thể bị đông tụ bởi ethanol nên dùng cồn xoa vào tay có thể hạn chế lây nhiễm SARS-CoV-2 qua đường tiếp xúc.
b) Cồn dùng để diệt khuẩn vì cồn có khả năng thẩm thấu cao nên có thể thẩm thấu sâu vào trong tế bào vi khuẩn gây đông tụ protein làm cho vi khuẩn chết. Tuy nhiên, ở nồng độ cao 90o sẽ làm cho protein trên bề mặt vi khuẩn đông tụ nhanh tạo ra lớp màng ngăn không cho cồn thấm sâu vào bên trong, làm giảm tác dụng diệt khuẩn.
Ngoài ra, cồn 90o vừa thoa lên tay đã bay hơi rất nhanh, không đủ thời gian tồn tại trên tay để diệt vi khuẩn, virus, bên cạnh đó cồn 90o cũng sẽ gây khô da, kích ứng và không an toàn cho da.
Tìm hiểu cách làm nước mắm và cho biết yếu tố nào đã được sử dụng để thực hiện quá trình chuyển hóa protein có trong thịt cá thành các amino acid.
Lời giải:
Cá được ủ với muối và được đảo đều mỗi ngày làm tăng khả năng phân giải enzyme và vi sinh vật nhanh. Các enzyme và vi sinh vật phân giải protein trong cá thành các amino acid.
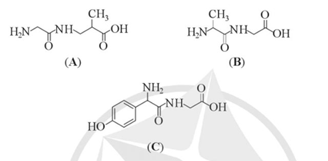
Phân tử chất nào dưới đây không chứa liên kết peptide? Giải thích.

Lời giải:
(B) và (C) chứa liên kết peptide.
(A) không chứa liên kết peptide vì (A) không được tạo thành từ các α – amino acid.
Viết công thức cấu tạo của các phân tử dipeptide mạch hở, trong đó, thành phần bao gồm cả hai loại đơn vị cấu tạo là glycine và alanine.
Lời giải:
Gly – Ala: H2N-CH2-CO-NH-CH(CH3)-COOH;
Ala – Gly: H2NCH(CH3)-CO-NH-CH2-COOH;
Thuỷ phân một tripeptide thu được 3 amino acid là Ala, Gly và Val. Cho biết cấu tạo có thể có của tripeptide đem thuỷ phân ở trên.
Lời giải:
Cấu tạo có thể có của tripeptide đem thuỷ phân ở trên là:
Ala-Gly-Val:

Ala-Val-Gly:

Gly-Ala-Val:

Thành phần tạo nên vị ngọt đặc trưng của nước mắm (được sản xuất từ cá) và nước tương (được sản xuất từ đậu nành) là các amino acid tạo thành từ sự thuỷ phân hoàn toàn của protein có trong cá hoặc đậu nành. Tìm hiểu và cho biết độ đạm của nước tương, nước mắm tương ứng với thành phần nào có trong nước tương, nước mắm. Độ đạm có tỉ lệ thuận với hàm lượng amino acid có trong nước tương, nước mắm không? Giải thích.
Lời giải:
Độ đạm của nước tương, nước mắm tương ứng với tổng lượng nitrogen có trong nước tương, nước mắm.
Nitrogen có trong thành phần của amino acid. Hàm lượng nitrogen càng lớn tương ứng với hàm lượng amino acid càng lớn thì độ đạm càng cao. Vậy độ đạm tỉ lệ thuận với hàm lượng amino acid có trong nước tương, nước mắm.
Theo Nghị định 147/2024/ND-CP, bạn cần xác thực tài khoản trước khi sử dụng tính năng này. Chúng tôi sẽ gửi mã xác thực qua SMS hoặc Zalo tới số điện thoại mà bạn nhập dưới đây: