Hỗ trợ tư vấn
Tư vấn - Giải đáp - Hỗ trợ đặt tài liệu
Mua gói Pro để tải file trên Download.vn (không bao gồm tài liệu cao cấp) và trải nghiệm website không quảng cáo
Tìm hiểu thêm »Giải Hóa 10 Bài 12: Liên kết hydrogen và tương tác Van Der Waals là tài liệu vô cùng hữu ích, giúp các em học sinh lớp 10 có thêm nhiều gợi ý tham khảo, nhanh chóng trả lời toàn bộ câu hỏi trong sách Cánh diều trang 64, 65, 66, 67, 68 69.
Hóa 10 bài 12: Liên kết hydrogen và tương tác Van Der Waals được biên soạn khoa học, chi tiết giúp các em rèn kỹ năng giải Hóa, so sánh đáp án vô cùng thuận tiện từ đó sẽ học tốt môn Hóa học 10. Đồng thời đây cũng là tài liệu giúp quý thầy cô tham khảo để soạn giáo án. Vậy sau đây là giải Hóa 10 bài 12 trang 64→69 sách Cánh diều, mời các bạn cùng theo dõi tại đây.
1. Bản chất của liên kết hydrogen
- Bản chất: Nguyên tử hydrogen trong phân tử HF, H2O, NH3 rất linh động, có điện tích dương đủ lớn để hút cặp electron hóa trị chưa liên kết trên nguyên tử F, O hoặc N (của phân tử khác) có độ âm điện lớn tạo thành liên kết hydrogen
2. Vai trò và ảnh hưởng của liên kết hydrogen tới tính chất vật lí của nước
- Liên kết hydrogen làm tăng nhiệt độ nóng chảy, nhiệt độ sôi của nước
3. Tương tác Van Der Waals
- Tương tác van der Waals là tương tác tĩnh điện lưỡng cực – lưỡng cực giữa các nguyên tử hay phân tử
- Bản chất:
Liên kết hydrogen xuất hiện giữa những phân tử cùng loại nào sau đây?
A. CH4
B. NH3
C. H3C-O-CH3
D. PH3
Gợi ý đáp án
Đáp án B
Nhiệt nóng chảy và nhiệt độ sôi của hai chất HBr và HF như sau:
| Chất | Nhiệt độ nóng chảy (oC) | Nhiệt độ sôi (oC) |
| ? | –86,9 | –66,8 |
| ? | – 83,6 | 19,5 |
Gợi ý đáp án
| Chất | Nhiệt độ nóng chảy (oC) | Nhiệt độ sôi (oC) |
| HBr | –86,9 | –66,8 |
| HF | – 83,6 | 19,5 |
Độ âm điện của F lớn hơn Br nên tương tác hút tĩnh điện giữa Hδ+ và Fδ- lớn hơn tương tác hút tĩnh điện giữa Hδ+ và Brδ-.
⇒ Các phân tử HF liên kết chặt chẽ với nhau bởi các liên kết hydrogen hơn so với các phân tử HBr.
⇒ Nhiệt độ nóng chảy và nhiệt độ sôi của HF lớn hơn so với HBr.
Chọn phương án đúng
1. Những phát biểu nào sau đây là đúng khi nói về các loại liên kết?
a) Liên kết hydrogen yếu hơn liên kết ion và liên kết cộng hóa trị.
b) Liên kết hydrogen mạnh hơn liên kết ion và liên kết cộng hóa trị.
c) Tương tác van der Waals yếu hơn liên kết hydrogen.
d) Tương tác van der Waals mạnh hơn liên kết hydrogen.
Gợi ý đáp án
Những phát biểu đúng là:
a) Liên kết hydrogen yếu hơn liên kết ion và liên kết cộng hóa trị.
c) Tương tác van der Waals yếu hơn liên kết hydrogen.
Các liên kết biểu diễn bằng các đường nét đứt được minh họa như hình dưới đây có vai trò quan trọng trong việc làm bền chuỗi xoắn đôi DNA. Đó là loại liên kết gì?
A. Liên kết ion
B. Liên kết cộng hóa trị có cực
C. Liên kết cộng hóa trị không cực
D. Liên kết hydrogen
Gợi ý đáp án
Liên kết biểu diễn bằng các đường nét đứt là liên kết hydrogen.
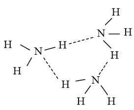
Một kết quả nghiên cứu mới đây cho thấy các phân tử NH 3 có thể liên kết với nhau thành những cụm (NH 3 ) n với n = 3 – 6. (Theo ACS Omega 2020, 5, 49, 31724-31729).
Vì sao các phân tử NH 3 có thể hình thành được cụm phân tử này?
Gợi ý đáp án
Trong phân tử NH3 có nguyên tử H liên kết với nguyên tử N (có độ âm điện mạnh) còn cặp electron riêng.

Do đó các phân tử NH3 có thể liên kết với nhau bằng liên kết hydrogen tạo thành những cụm phân tử.
Cụm phân tử (NH3)3

Cụm phân tử (NH3)4

Theo Nghị định 147/2024/ND-CP, bạn cần xác thực tài khoản trước khi sử dụng tính năng này. Chúng tôi sẽ gửi mã xác thực qua SMS hoặc Zalo tới số điện thoại mà bạn nhập dưới đây: