Hỗ trợ tư vấn
Tư vấn - Giải đáp - Hỗ trợ đặt tài liệu
Mua gói Pro để tải file trên Download.vn (không bao gồm tài liệu cao cấp) và trải nghiệm website không quảng cáo
Tìm hiểu thêm »
SỞ GIÁO DỤC VÀ ĐÀO TẠO
|
KỲ THI TUYỂN SINH LỚP 10 THPT
|
Câu 1: (2,0 điểm)
Giải hệ phương trình, các phương trình sau đây:
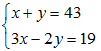
1. 
2. |x + 5| = 2x - 18
3. x2 - 12x + 36 = 0
4. ![]()
Câu 2: (1,5 điểm)
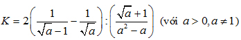
Cho biểu thức: 
1. Rút gọn biểu thức K.
2. Tìm a để K = √2012.
Câu 3: (1,5 điểm)
Cho phương trình (ẩn số x): x2 - 4x - m2 + 3 = 0 (*).
1. Chứng minh phương trình (*) luôn có hai nghiệm phân biệt với mọi m.
2. Tìm giá trị của m để phương trình (*) có hai nghiệm x1, x2 thỏa x2 = - 5x1.
Câu 4: (1,5 điểm)
Một ô tô dự định đi từ A đến B cách nhau 120 km trong một thời gian quy định. Sau khi đi được 1 giờ thì ô tô bị chặn bởi xe cứu hỏa 10 phút. Do đó để đến B đúng hạn xe phải tăng vận tốc thêm 6 km/h. Tính vận tốc lúc đầu của ô tô.
Câu 5: (3,5 điểm)
Cho đường tròn (O), từ điểm ở ngoài đường tròn vẽ hai tiếp tuyến AB và AC (B, C là các tiếp điểm). OA cắt BC tại E.
1. Chứng minh tứ giác ABOC nội tiếp.
2. Chứng minh BC vuông góc với OA và BA.BE = AE.BO.
3. Gọi I là trung điểm của BE, đường thẳng qua I và vuông góc OI cắt các tia AB, AC theo thứ tự tại D và F. Chứng minh góc IDO = BCO và ΔDOFcân tại O.
4. Chứng minh F là trung điểm của AC
Download tài liệu để xem thêm chi tiết
Theo Nghị định 147/2024/ND-CP, bạn cần xác thực tài khoản trước khi sử dụng tính năng này. Chúng tôi sẽ gửi mã xác thực qua SMS hoặc Zalo tới số điện thoại mà bạn nhập dưới đây: