Đề thi tuyển sinh lớp 10 THPT tỉnh Hải Dương năm 2012 - 2013 môn Toán - Có đáp án Sở GD&ĐT Hải Dương

SỞ GIÁO DỤC VÀO ĐÀO TẠO
HẢI DƯƠNG

Đề thi chính thức

KỲ THI TUYỂN SINH LỚP 10 THPT
NĂM HỌC 2012-2013
MÔN THI: TOÁN

Thời gian làm bài: 120 phút (không kể thời gian giao đề)
Ngày thi: 12/07/2012

Câu 1 (2,0 điểm):

Giải các phương trình sau:

a) x(x - 2) = 12 - x.

b)

Câu 2 (2,0 điểm):
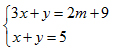
a) Cho hệ phương trình có nghiệm (x;y). Tìm m để biểu thức (xy + x - 1) đạt giá trị lớn nhất.

b) Tìm m để đường thẳng y = (2m-3)x-3 cắt trục hoành tại điểm có hoành độ bằng 2/3.

Câu 3 (2,0 điểm):

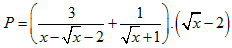
a) Rút gọn biểu thức với x ≥0 và x # 4.

b) Năm ngoái, hai đơn vị sản xuất nông nghiệp thu hoạch được 600 tấn thóc. Năm nay, đơn vị thứ nhất làm vượt mức 10%, đơn vị thứ hai làm vượt mức 20% so với năm ngoái. Do đó cả hai đơn vị thu hoạch được 685 tấn thóc. Hỏi năm ngoái, mỗi đơn vị thu hoạch được bao nhiêu tấn thóc?

Câu 4 (3,0 điểm):

Cho tam giác ABC có ba góc nhọn, nội tiếp đường tròn (O). Vẽ các đường cao BE, CF của tam giác ấy. Gọi H là giao điểm của BE và CF. Kẻ đường kính BK của (O) .

a) Chứng minh tứ giác BCEF là tứ giác nội tiếp.

b) Chứng minh tứ giâc AHCK là mình bình hành.

c) Đường tròn đường kính AC cắt BE ở M, đường tròn đường kính AB cặt CF ở N. Chứng minh AM = AN.

Câu 5 (1,0 điểm):

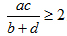
Cho a, b, c, d là các số thực thỏa mãn: b + d # 0 và . Chứng minh rằng phương trình (x2 + ax +b)(x2 + cx + d)=0 (x là ẩn) luôn có nghiệm.

Download tài liệu để xem thêm chi tiết.

Chia sẻ bởi: 👨 Nguyễn Thu Ngân
Liên kết tải về
Tìm thêm: Toán 10
Xác thực tài khoản!

Theo Nghị định 147/2024/ND-CP, bạn cần xác thực tài khoản trước khi sử dụng tính năng này. Chúng tôi sẽ gửi mã xác thực qua SMS hoặc Zalo tới số điện thoại mà bạn nhập dưới đây:

Số điện thoại chưa đúng định dạng!
Số điện thoại này đã được xác thực!
Bạn có thể dùng Sđt này đăng nhập tại đây!
Lỗi gửi SMS, liên hệ Admin
Sắp xếp theo
👨
Đóng
Chỉ thành viên Download Pro tải được nội dung này! Download Pro - Tải nhanh, website không quảng cáo! Tìm hiểu thêm
Nhắn tin Zalo