Hỗ trợ tư vấn
Tư vấn - Giải đáp - Hỗ trợ đặt tài liệu
Mua gói Pro để tải file trên Download.vn (không bao gồm tài liệu cao cấp) và trải nghiệm website không quảng cáo
Tìm hiểu thêm »
SỞ GIÁO DỤC VÀ ĐÀO TẠO
|
KỲ THI TUYỂN SINH VÀO LỚP 10 THPT CHUYÊN
|
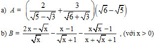
Câu 1 (2,0 điểm).
Không dùng máy tính bỏ túi, hãy rút gọn các biểu thức sau:
Câu 2 (2,5 điểm).
Giải phương trình và hệ phương trình sau:
a) (x2 - x + 1)2 - 3(x2 - x + 1) - 4 = 0
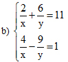
b) 
Câu 3 (2,5 điểm).
a) Chứng minh rằng phương trình x2 - 2mx + 3m - 8 = 0 luôn có hai nghiệm phân biệt x1; x2 với mọi m. Với giá trị nào của m thì hai nghiệm x1; x2 thỏa mãn (x1 - 2)(x2 - 2) < 0
b) Cho x, y, z là ba số thực dương thỏa: x2 + y2 + z2 = 1. Chứng minh rằng:
. Đẳng thức xảy ra khi nào?
Câu 4 (3,0 điểm).
Cho nửa đường tròn tâm O đường kính AB. Từ A, B vẽ các tiếp tuyến Ax, By về phía có chứa nửa đường tròn (O). Lấy điểm M thuộc đoạn thẳng OA; điểm N thuộc nửa đường tròn (O). Đường tròn (O’) ngoại tiếp tam giác AMN cắt Ax tại C; đường thẳng CN cắt By tại D.
a) Chứng minh tứ giác BMND nội tiếp.
b) Chứng minh DM là tiếp tuyến của đường tròn (O’).
c/ Gọi I là giao điểm của AN và CM; K là giao điểm của BN và DM. Chứng minh IK song song AB.
Download tài liệu để xem thêm chi tiết.
Theo Nghị định 147/2024/ND-CP, bạn cần xác thực tài khoản trước khi sử dụng tính năng này. Chúng tôi sẽ gửi mã xác thực qua SMS hoặc Zalo tới số điện thoại mà bạn nhập dưới đây: