Hỗ trợ tư vấn
Tư vấn - Giải đáp - Hỗ trợ đặt tài liệu
Mua gói Pro để tải file trên Download.vn (không bao gồm tài liệu cao cấp) và trải nghiệm website không quảng cáo
Tìm hiểu thêm »Download.vn xin gửi đến các bạn thí sinh đang ôn thi THPT quốc gia Đề thi thử THPT Quốc gia 2017 môn Toán trường Quốc học Quy Nhơn - Bình Định lần 2 (có đáp án). Đây là đề thi thử nghiệm THPT quốc gia 2017 môn Toán nhằm định hướng ôn luyện và giúp các bạn thí sinh củng cố kiến thức môn Toán chuẩn bị cho bài thi THPT quốc gia sắp tới.
Đề thi thử THPT Quốc gia 2017 môn Toán trường THPT Minh Khai - Hà Nội
Đề thi thử THPT Quốc gia 2017 môn Toán trường THPT chuyên Đại học Vinh lần 4 (Có đáp án)







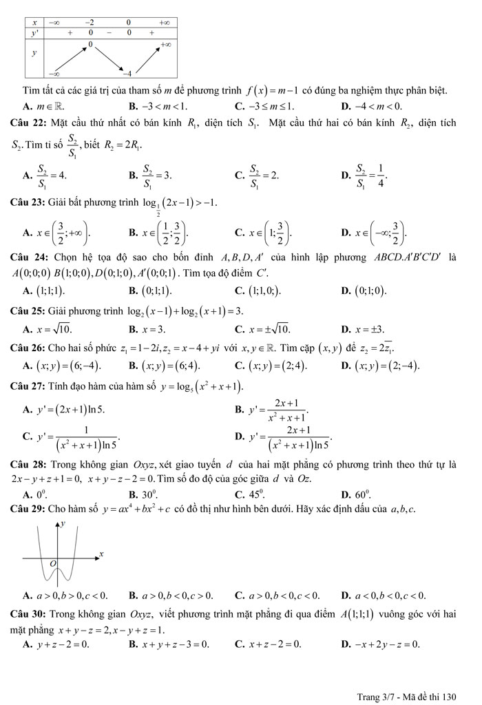
Theo Nghị định 147/2024/ND-CP, bạn cần xác thực tài khoản trước khi sử dụng tính năng này. Chúng tôi sẽ gửi mã xác thực qua SMS hoặc Zalo tới số điện thoại mà bạn nhập dưới đây: