Hỗ trợ tư vấn
Tư vấn - Giải đáp - Hỗ trợ đặt tài liệu
Mua gói Pro để tải file trên Download.vn (không bao gồm tài liệu cao cấp) và trải nghiệm website không quảng cáo
Tìm hiểu thêm »
SỞ GIÁO DỤC VÀ ĐÀO TẠO
|
KỲ THI OLYMPIC TRUYỀN THỐNG 30/4
|
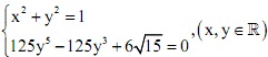
Bài 1 (4 điểm):
Giải hệ phương trình sau: 
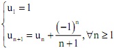
Bài 2 (4 điểm):
Cho dãy số (un) xác định bởi: 
a. Chứng minh rằng: ![]()
b. Chứng minh rằng dãy số (un) có giới hạn hữu hạn, tìm giới hạn đó.
Bài 3 (3 điểm):
Hai đường tròn (O1, R1 ) và (O2, R2) (R1 > R2) cắt nhau tại hai điểm M và M’. Một tiếp tuyến chung T1T2 của hai đường tròn cắt đường thẳng O1O2 tại P (T1 thuộc (O1), T2 thuộc (O2)). Đường thẳng PM cắt (O1) và (O2) lần lượt tại M1 và M2 khác M. Đường thẳng PM’ cắt (O1) và (O2) lần lượt tại M1’ và M2’ khác M’. Gọi A, B, C, D lần lượt là trung điểm của MM1, MM2, M’M1’, M’M2’. Chứng minh rằng A, B, C, D nằm trên một đường tròn và đường tròn này tiếp xúc với T1T2.
Bài 4 (3 điểm):
Xác định các đa thức P(x) hệ số thực thỏa mãn P(x).P(x2) = P(x3+ 3x), ∀x thuộc R.
Bài 5 (3 điểm):
Cho hai số tự nhiên m và n sao cho m > n ≥ 1. Biết rằng hai chữ số tận cùng của 2014m bằng với hai chữ số tận cùng của 2014n theo cùng thứ tự. Tìm các số m và n sao cho tổng m + n có giá trị nhỏ nhất.
Bài 6 (3 điểm)
Cho đa giác đều 9 đỉnh A1A2 ...A9. Mỗi đỉnh của đa giác hoặc có màu đỏ hoặc có màu xanh. Chứng minh rằng tồn tại hai tam giác phân biệt bằng nhau có tất cả các đỉnh là các đỉnh của đa giác và cùng màu.
Download tài liệu để xem chi tiết.
Theo Nghị định 147/2024/ND-CP, bạn cần xác thực tài khoản trước khi sử dụng tính năng này. Chúng tôi sẽ gửi mã xác thực qua SMS hoặc Zalo tới số điện thoại mà bạn nhập dưới đây: