Đề thi khảo sát chất lượng Học sinh giỏi TP Vinh năm 2012 - 2013 - Lớp 9 Môn: Toán, Văn

PHÒNG GIÁO DỤC VÀ ĐÀO TẠO
THÀNH PHỐ VINH

ĐỀ KHẢO SÁT CHẤT LƯỢNG HỌC SINH GIỎI
NĂM HỌC: 2012 - 2013

MÔN THI: TOÁN - LỚP 9

Bài 1. (2 điểm)

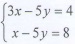
a. Giải hệ phương trình:

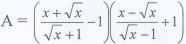
b. Tìm điều kiện xác định và rút gọn biểu thức:

c. Có giá trị nào của x để M(x) = 0 không?

Bài 2. (3 điểm)

Cho phương trình: (2m - 1)x2 - 2mx + 1 = 0

a. Giải phương trình với m = 2.

b. Tìm giá trị của m để phương trình có 2 nghiệm phân biệt.

c. Tìm giá trị của m để phương trình có nghiệm thuộc khoảng (-1; 0)

Bài 3. (2 điểm)

Tính diện tích hình chữ nhật nội tiếp đường tròn tâm O có bán kính bằng 5cm. Biết rằng chiều dài và chiều rộng của hình chữ nhật đó hơn kém nhau 2cm.

Bài 4: (3 điểm)

Cho 3 điểm A, C, B thẳng hàng (C nằm giữa A, B). Trên cùng một nửa mặt phẳng bờ là đường thẳng AB vẽ hai tia Ax, By vuông góc với AB, lấy điểm I thuộc tia Ax. Tia vuông góc với CI tại C cắt tia By tại K. Đường tròn đường kính IC cắt IK tại P.

a. Chứng minh tứ giác CPKB nội tiếp.

b. Chứng minh tam giác APB vuông.

c. Giả sử A, B, I cố định. Xác định vị trí của điểm C sao cho diện tích tứ giác ABKI lớn nhất.

MÔN THI: NGỮ VĂN - LỚP 9

Câu 1: (2 điểm)

Hãy cho biết những từ ngữ in đậm là thành phần gì trong các câu sau:

a. Anh quay lại nhìn con vừa khe khẽ lắc đầu vừa cười. Có lẽ vì khổ tâm đến nỗi không khóc được nên anh phải cười vậy thôi. (Nguyễn Quang Sáng - Chiếc lược ngà)

b. Trời ơi, chỉ còn có năm phút! (Nguyễn Thành Long - Lặng lẽ Sa Pa)

c. Này, bác có biết mấy hôm nay súng nỏ bắn ở đâu mà nghe rát thế không? (Kim Lân - Làng)

d. Lúc đi, đứa con gái đầu lòng của anh - và cũng là đứa con duy nhất của anh, chưa đầy một tuổi. (Nguyễn Quang Sáng - Chiếc lược ngà)

Câu 2: (3 điểm)

Viết một đoạn văn ngắn (khoảng 10 - 12 câu) phân tích hình ảnh thơ sau:

"Có đám mây mùa hạ
Vắt nửa mình sang thu"

(Hữu Thỉnh - Sang Thu)

Câu 3: (5 điểm)

Hãy nêu và phân tích tình huống chính trong truyện ngắn "Làng" của nhà văn Kim Lân

Download tài liệu để xem thêm chi tiết.

Chia sẻ bởi: 👨 Nguyễn Thu Ngân
Liên kết tải về

Chọn file cần tải:

Tìm thêm: Toán 9
Xác thực tài khoản!

Theo Nghị định 147/2024/ND-CP, bạn cần xác thực tài khoản trước khi sử dụng tính năng này. Chúng tôi sẽ gửi mã xác thực qua SMS hoặc Zalo tới số điện thoại mà bạn nhập dưới đây:

Số điện thoại chưa đúng định dạng!
Số điện thoại này đã được xác thực!
Bạn có thể dùng Sđt này đăng nhập tại đây!
Lỗi gửi SMS, liên hệ Admin
Sắp xếp theo
👨
Đóng
Chỉ thành viên Download Pro tải được nội dung này! Download Pro - Tải nhanh, website không quảng cáo! Tìm hiểu thêm
Nhắn tin Zalo