Đề thi học sinh giỏi lớp 9 THCS tỉnh Hà Nam năm 2011 - 2012 môn Sinh học Sở GD-ĐT Hà Nam

SỞ GIÁO DỤC VÀ ĐÀO TẠO
HÀ NAM

ĐỀ CHÍNH THỨC

KỲ THI CHỌN HỌC SINH GIỎI CẤP TỈNH LỚP 9 THCS
NĂM HỌC 2011 – 2012

MÔN THI: SINH HỌC
Thời gian làm bài: 150 phút (không kể thời gian giao đề)

Câu 1. (3,0 điểm)

a) So sánh di truyền trội hoàn toàn và trội không hoàn toàn.

b) Điền cụm từ thích hợp vào chỗ trống trong các câu sau đây:

Phép lai phân tích là phép lai giữa cá thể mang tính trạng ........(A)......... cần xác định ............(B)............ với cá thể mang tính trạng lặn. Nếu kết quả của phép lai là đồng tính thì cá thể mang tính trạng trội có kiểu gen ...........(C)........., còn kết quả của phép lai là phân tính thì cá thể đó có kiểu gen ..........(D).......................................

Câu 2. (3,0 điểm)

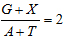
Ở một loài vi khuẩn, gen B có 3600 liên kết hiđrô, tỉ lệ

a) Tính số lượng từng loại nuclêôtit của gen B.

b) Gen B bị đột biến thành gen b, gen b có chiều dài bằng gen B nhưng có số liên kết hiđrô giảm đi 1 liên kết. Đột biến trên thuộc dạng nào? Tính số lượng từng loại nuclêôtit của gen b.

Câu 3. (1,5 điểm)

Có 5 tế bào sinh dưỡng của một loài nguyên phân một số lần bằng nhau tạo ra các tế bào con. Người ta đếm được tổng số nhiễm sắc thể trong các tế bào con là 6080 nhiễm sắc thể đơn. Trong quá trình đó đã sử dụng của môi trường nội bào nguyên liệu tương đương với 5890 nhiễm sắc thể đơn.

a) Xác định bộ nhiễm sắc thể lưỡng bội của loài.

b) Tính số lần nguyên phân của mỗi tế bào.

c) Trong quá trình nguyên phân đó, ở mỗi tế bào, hãy xác định:

- Số tâm động ở kỳ trước.

- Số nhiễm sắc thể ở kỳ giữa; kỳ sau.

Câu 4. (1,5 điểm)

a) Thoái hoá giống là gì? Vì sao tự thụ phấn bắt buộc ở cây giao phấn và giao phối cận huyết ở động vật qua nhiều thế hệ sẽ dẫn tới thoái hóa giống?

b) Kiểu gen ban đầu của giống như thế nào thì tự thụ phấn bắt buộc ở cây giao phấn và giao phối cận huyết ở động vật qua nhiều thế hệ sẽ không gây thoái hóa giống?

Câu 5. (2,5 điểm)

Bằng kĩ thuật gen, người ta đã tạo được vi khuẩn E.coli mang gen mã hóa hoocmôn insulin ở người để sản xuất insulin chữa bệnh tiểu đường. Cũng bằng kĩ thuật gen, người ta tạo được giống đậu tương mang gen kháng thuốc diệt cỏ của cây thuốc lá cảnh.

a) Hãy xác định tên của tế bào cho gen, tên của tế bào nhận gen trong 2 thành tựu kĩ thuật gen nói trên.

b) Trình bày các khâu của kĩ thuật gen.

Câu 6. (1,5 điểm)

Tại một bệnh viện sản ở Ba Lan có một ca sinh 5 (sinh một lần được 5 cháu bé). Khảo sát sơ bộ cho thấy:

- Về sức khỏe: 5 cháu đều bình thường.

- Về giới tính: 2 cháu trai, 3 cháu gái.

- Về kiểu gen và kiểu hình: 2 cháu có cùng một kiểu gen, kiểu hình (kiểu gen và kiểu hình giống nhau hoàn toàn); 3 cháu còn lại có cùng một kiểu gen, kiểu hình (kiểu gen, kiểu hình giống nhau hoàn toàn). Hãy cho biết các cháu bé nói trên thuộc đồng sinh cùng trứng hay đồng sinh khác trứng. Vì sao?

Câu 7. (4,0 điểm)

a) Ở Việt Nam:

Cá rô phi có thể sống được trong điều kiện nhiệt độ từ 50C đến 420C, cá sinh trưởng và phát triển tốt nhất trong khoảng nhiệt độ từ 250C đến 350C, dưới 50C hoặc trên 420C cá sinh trưởng yếu dần và chết.

Cá chép có thể sống được trong điều kiện nhiệt độ từ 20C đến 450C, cá sinh trưởng và phát triển tốt nhất trong khoảng nhiệt độ từ 200C đến 350C, dưới 20C hoặc trên 450C cá sinh trưởng yếu dần và chết.

Biên độ dao động về nhiệt độ ở các ao hồ của miền Bắc từ 20C đến 400C, của miền Nam từ 120C đến 410C.

- Hãy cho biết: Giới hạn sinh thái, khoảng thuận lợi về nhân tố nhiệt độ đối với cá rô phi và cá chép ở Việt Nam.

- Khả năng phân bố của cá rô phi so với cá chép tại các ao hồ ở nước ta như thế nào? Vì sao?

b) Hãy sắp xếp các hiện tượng sau vào các mối quan hệ sinh thái cho phù hợp:

1. Chim ăn sâu; 2. Dây tơ hồng bám trên bụi cây; 3. Vi khuẩn cố định đạm trong nốt sần của rễ cây họ đậu; 4. Giun kí sinh trong ruột của động vật và người; 5. Sâu bọ sống nhờ trong tổ kiến, tổ mối; 6. Nhạn bể và cò làm tổ tập đoàn; 7. Hiện tượng liền rễ ở các cây thông; 8. Địa y; 9. Loài cây cọ mọc quần tụ thành từng nhóm; 10. Cáo ăn thỏ.

Câu 8. (3,0 điểm)

Ở một loài hoa, biết rằng gen quy định tính trạng nằm trên NST thường, mỗi gen qui định một tính trạng, không xảy ra quá trình đột biến.

Cho các cây thuần chủng thân cao, hoa trắng và thân thấp, hoa đỏ giao phấn với nhau thu được F1 toàn cây thân cao, hoa hồng. Cho các cây F1 tiếp tục giao phấn với nhau thu được F2 có tỉ lệ: 99 cây thân cao, hoa trắng: 200 cây thân cao, hoa hồng: 101 cây thân thấp, hoa đỏ.

a) Biện luận và viết sơ đồ lai từ P đến F¬2.

b) Ở F2, lai cây thân cao, hoa hồng với cây thân thấp, hoa đỏ thì kết quả thu được sẽ như thế nào?

Download tài liệu để xem thêm chi tiết

Chia sẻ bởi:
Liên kết tải về
Xác thực tài khoản!

Theo Nghị định 147/2024/ND-CP, bạn cần xác thực tài khoản trước khi sử dụng tính năng này. Chúng tôi sẽ gửi mã xác thực qua SMS hoặc Zalo tới số điện thoại mà bạn nhập dưới đây:

Số điện thoại chưa đúng định dạng!
Số điện thoại này đã được xác thực!
Bạn có thể dùng Sđt này đăng nhập tại đây!
Lỗi gửi SMS, liên hệ Admin
Sắp xếp theo
👨
Đóng
Chỉ thành viên Download Pro tải được nội dung này! Download Pro - Tải nhanh, website không quảng cáo! Tìm hiểu thêm
Nhắn tin Zalo