Đề thi học sinh giỏi lớp 11 THPT Chuyên tỉnh Vĩnh Phúc năm 2012 môn Toán - Có đáp án Sở GD&ĐT Vĩnh Phúc

SỞ GIÁO DỤC VÀ ĐÀO TẠO
TỈNH VĨNH PHÚC

(ĐỀ THI CHÍNH THỨC)

KỲ THI CHỌN HSG LỚP 11 NĂM HỌC 2011-2012
ĐỀ THI MÔN: TOÁN

Dành cho học sinh THPT chuyên Vĩnh Phúc
Thời gian làm bài: 180 phút, không kể thời gian giao đề

Câu 1 (3,0 điểm).

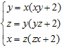
1. Giải hệ phương trình: (x, y, z thuộc ¡).

2. Tính giới hạn sau: .

Câu 2 (2,0 điểm).

Cho các số thực dương a, b, c thỏa mãn ac ≥ 12 và bc ≥ 8. Tìm giá trị nhỏ nhất có thể được của biểu thức:

Câu 3 (2,0 điểm).

Tìm tất cả các số nguyên dương n và số nguyên tố p thỏa mãn đồng thời các điều kiện n ≤ 2p và (p - 1)n + 1 chia hết cho np-1.

Câu 4 (2,0 điểm).

Xét các điểm M, N (M, N không trùng với A) tương ứng thay đổi trên các đường thẳng chứa các cạnh AB, AC của tam giác ABC sao cho và các đường thẳng BN, CM cắt nhau tại P. Gọi Q là giao điểm thứ hai (khác điểm P) của đường tròn ngoại tiếp các tam giác BMP và CNP.

1. Chứng minh rằng Q luôn nằm trên một đường thẳng cố định.

2. Gọi A', B', C' lần lượt là điểm đối xứng với Q qua các đường thẳng BC, CA, AB. Chứng minh rằng tâm đường tròn ngoại tiếp tam giác A'B'C' nằm trên một đường thẳng cố định.

Câu 5 (1,0 điểm).

Ta gọi mỗi bộ ba số nguyên dương (a; b; c) là một bộ n- đẹp nếu a ≤ b ≤ c, ước chung lớn nhất của a, b, c bằng 1và (an + bn + cn)(a + b + c). Ví dụ, bộ (1; 2; 2) là 5- đẹp, nhưng không phải là 3- đẹp. Tìm tất cả các bộ n- đẹp với mọi n≥ 1 (nếu có).

Download tài liệu để xem thêm chi tiết.

Chia sẻ bởi: 👨 Nguyễn Thu Ngân
Liên kết tải về
Tìm thêm: Toán 11
Xác thực tài khoản!

Theo Nghị định 147/2024/ND-CP, bạn cần xác thực tài khoản trước khi sử dụng tính năng này. Chúng tôi sẽ gửi mã xác thực qua SMS hoặc Zalo tới số điện thoại mà bạn nhập dưới đây:

Số điện thoại chưa đúng định dạng!
Số điện thoại này đã được xác thực!
Bạn có thể dùng Sđt này đăng nhập tại đây!
Lỗi gửi SMS, liên hệ Admin
Sắp xếp theo
👨
Đóng
Chỉ thành viên Download Pro tải được nội dung này! Download Pro - Tải nhanh, website không quảng cáo! Tìm hiểu thêm
Nhắn tin Zalo