Hỗ trợ tư vấn
Tư vấn - Giải đáp - Hỗ trợ đặt tài liệu
Mua gói Pro để tải file trên Download.vn (không bao gồm tài liệu cao cấp) và trải nghiệm website không quảng cáo
Tìm hiểu thêm »
SỞ GIÁO DỤC VÀ ĐÀO TẠO
|
KỲ THI CHỌN HỌC SINH GIỎI TỈNH CẤP THPT
|
Thời gian làm bài: 180 phút (không kể thời gian giao đề)
Câu 1.
a) Giải phương trình: 
b) Tính giới hạn sau: ![]()
Câu 2.
a) Cho khai triển: (1 + x + x2 + x3 + ... + x10)11 = ao + a1x + a2x2 + a3x3 + ... + a110x110
Chứng minh đẳng thức sau: ![]()
b) Tính tổng: ![]()
Câu 3.
a) Cho tam giác ABC có độ dài các đường cao BB' = √5, CC' = 2 và
. Tính diện tích tam giác ABC.
b) Cho tam giác ABC có các góc thỏa mãn
. Tính các góc của tam giác đó khi biểu thức sau đạt giá trị nhỏ nhất: P = 2cos4C + 4cos2C + cos2A + cos2B
Câu 4.
Cho hình chóp SABC có SC vuông góc với mặt phẳng (ABC) và tam giác ABC vuông tại B. Biết AB = a, AC = a và góc giữa hai mặt phẳng (SAB), (SAC) bằng α với
. Tính độ dài SC theo a.
Câu 5.
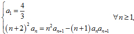
Cho dãy số (an) thỏa mãn:
và n thuộc ¥
Tìm liman.
Download tài liệu để xem thêm chi tiết
Theo Nghị định 147/2024/ND-CP, bạn cần xác thực tài khoản trước khi sử dụng tính năng này. Chúng tôi sẽ gửi mã xác thực qua SMS hoặc Zalo tới số điện thoại mà bạn nhập dưới đây: