Hỗ trợ tư vấn
Tư vấn - Giải đáp - Hỗ trợ đặt tài liệu
Mua gói Pro để tải file trên Download.vn (không bao gồm tài liệu cao cấp) và trải nghiệm website không quảng cáo
Tìm hiểu thêm »
SỞ GIÁO DỤC VÀ ĐÀO TẠO
|
KỲ THI CHỌN HỌC SINH GIỎI TỈNH CẤP THPT
|
Thời gian làm bài: 180 phút (không kể thời gian giao đề)
Câu 1.
a) Giải bất phương trình: ![]()
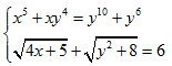
b) Giải hệ phương trình: 
Câu 2.
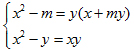
Tìm tất cả các giá trị của tham số để hệ phương trình sau có nghiệm: 
Câu 3.
Trong mặt phẳng với hệ tọa độ Oxy cho điểm I (2; 4) và các đường thẳng d1: 2x - y - 2 = 0; d1: 2x + y - 2 = 0. Viết phương trình đường tròn (C) có tâm I sao cho (C) cắt d1 tại A, B và cắt d2 tại C, D thỏa mãn: AB2 + CD2 + 16 = 5.AB.CD
Câu 4.
1. Cho tam giác ABC có AB = c, BC = a, CA = b. Trung tuyến CM vuông góc với phân giác trong AL và ![]()
Tính b/c và cosA.
2. Cho a,b thuộc i thỏa mãn: ![]()
Tìm giá trị nhỏ nhất của biểu thức: ![]()
Câu 5.
Cho f(x) = x2 - ax + b với a,b thuộc ¢ thỏa mãn điều kiện: Tồn tại các số nguyên m, n, p đôi một phân biệt và 1 ≤ m, n, p ≤ 0 sao cho: |f(m)| = |f(n)| = |f(p)| = 7.
Tìm tất cả các bộ số (a;b).
Download tài liệu để xem thêm chi tiết
Theo Nghị định 147/2024/ND-CP, bạn cần xác thực tài khoản trước khi sử dụng tính năng này. Chúng tôi sẽ gửi mã xác thực qua SMS hoặc Zalo tới số điện thoại mà bạn nhập dưới đây: